A
A
A

Glasilo Uradni list RS

V zavihku Glasilo Uradni list RS najdete vse uradne predpise slovenske zakonodaje.
Od 1. aprila 2010, je edina uradna izdaja Uradnega lista RS elektronska izdaja. Dodatne informacije najdete tukaj.

Številka 3

Uradni list RS, št. 3 z dne 17. 1. 2025

UL Infotok

Uradni list RS, št. 3/2025 z dne 17. 1. 2025

Št. 381-15/2024-3150-5 Ob-1089/25, Stran 51
Republika Slovenija, Ministrstvo za digitalno preobrazbo, Davčna ulica 1, Ljubljana, objavlja
javni razpis 
za sofinanciranje gradnje visokozmogljivih mobilnih omrežij 5G – Sklad za obnovo (OBP) 
Osnovo za izvedbo javnega razpisa predstavljajo naslednje pravne podlage:
– Zakon o javnih financah (Uradni list RS, št. 11/11 – upb., 14/13 – popr., 101/13, 55/15 – ZFisP, 96/15 – ZIPRS1617, 13/18, 195/20 – odl. US, 18/23 – ZDU-1O in 76/23),
– Zakon o obnovi, razvoju in zagotavljanju finančnih sredstev (Uradni list RS, št. 131/23 in 81/24; v nadaljevanju: ZORZFS),
– Zakon o elektronskih komunikacijah (Uradni list RS, št. 130/22 in 18/23 – ZDU-1O; v nadaljevanju: ZEKom-2),
– Proračun Republike Slovenije za leto 2025 (DP2025) (Uradni list RS, št. 123/23 in 104/24),
– Proračun Republike Slovenije za leto 2026 (DP2026) (Uradni list RS, št. 104/24),
– Zakon o izvrševanju proračunov Republike Slovenije za leti 2025 in 2026 (ZIPRS2526) (Uradni list RS, št. 104/24),
– Zakon o javnem naročanju (Uradni list RS, št. 91/15, 14/18, 121/21, 10/22, 74/22 – odl. US, 100/22 – ZNUZSZS, 28/23 in 88/23 – ZOPNN-F; v nadaljevanju: ZJN-3),
– Zakon o varstvu osebnih podatkov (Uradni list RS, št. 163/22),
– Zakon o poslovni skrivnosti (Uradni list RS, št. 22/19),
– Zakon o integriteti in preprečevanju korupcije (Uradni list RS, št. 69/11 – UPB, 15/20, 3/22 – ZDeb in 16/23 – ZZPri),
– Zakon o finančnem poslovanju, postopkih zaradi insolventnosti in prisilnem prenehanju (Uradni list RS, št. 176/21 – uradno prečiščeno besedilo, 178/21 – popr., 196/21 – odl. US, 157/22 – odl. US, 35/23 – odl. US, 57/23 – odl. US in 102/23),
– Zakon o gospodarskih družbah (Uradni list RS, št. 65/09 – UPB, 33/11, 91/11, 32/12, 57/12, 44/13 – odl. US, 82/13, 55/15, 15/17, 22/19 – ZPosS, 158/20 – ZIntPK, 18/21, 18/23 – ZDU-1O in 75/23),
– Gradbeni zakon (Uradni list RS, št. 199/21, 105/22 – ZZNŠPP, 133/23 in 85/24 – ZAID-A; v nadaljevanju: GZ1),
– Uredba Komisije (EU) št. 651/2014 z dne 17. junija 2014 o razglasitvi nekaterih vrst pomoči za združljive z notranjim trgom pri uporabi členov 107 in 108 Pogodbe (UL L št. 187 z dne 26. 6. 2014, str. 1), zadnjič spremenjena z Uredbo Komisije (EU) 2023/1315 z dne 23. junija 2023 o spremembi Uredbe (EU) št. 651/2014 o razglasitvi nekaterih vrst pomoči za združljive z notranjim trgom pri uporabi členov 107 in 108 Pogodbe ter Uredbe (EU) 2022/2473 o razglasitvi nekaterih vrst pomoči za podjetja, ki se ukvarjajo s proizvodnjo, predelavo in trženjem ribiških proizvodov in proizvodov iz akvakulture, za združljive z notranjim trgom z uporabo členov 107 in 108 Pogodbe (UL L št. 167 z dne 30. 6. 2023, str. 1; v nadaljevanju: Uredba 651/2014/EU),
– Uredba o uporabi javnih sredstev za gradnjo visokozmogljivih fiksnih širokopasovnih omrežij oziroma nadgradnjo obstoječih fiksnih omrežij, gradnjo mobilnih omrežij 5G, gradnjo zalednih omrežij in za spodbujanje povezljivosti (Uradni list RS, št. 24/24),
– Uredba o postopku, merilih in načinih dodeljevanja sredstev za spodbujanje razvojnih programov in prednostnih nalog (Uradni list RS, št. 56/11),
– Uredba o enotni metodologiji za pripravo in obravnavo investicijske dokumentacije na področju javnih financ (Uradni list RS, št. 60/06, 54/10 in 27/16),
– Uredba o razvrščanju objektov (Uradni list RS, št. 96/22),
– Uredba o zelenem javnem naročanju (Uradni list RS, št. 51/17, 64/19, 121/21 in 132/23),
– Pravilnik o projektni in drugi dokumentaciji ter obrazcih pri graditvi objektov (Uradni list RS, št. 30/23) in
– Shema državne pomoči »Gradnja visokozmogljivih mobilnih omrežij 5G – Sklad za obnovo« (št. priglasitve: BE05-2632586-2024).
1. Naziv in sedež organa, ki dodeljuje sredstva: Republika Slovenija, Ministrstvo za digitalno preobrazbo, Davčna ulica 1, 1000 Ljubljana (v nadaljevanju: ministrstvo).
2. Splošni podatki o javnem razpisu
Javni razpis se izvaja skladno z 81. členom ZORZFS.
2.1. Namen javnega razpisa
Namen javnega razpisa je sofinanciranje gradnje infrastrukture odprtih baznih postaj mobilnih omrežij 5G na prizadetih območjih po poplavah avgusta 2023 (v nadaljevanju: JR OBP), ki bodo omogočale pokrivanje s signalom 5G z običajno razpoložljivo prenosno hitrostjo najmanj 100 Mb/s v smeri proti končnemu uporabniku.
2.2. Cilj javnega razpisa
Cilj javnega razpisa je pokrivanje prizadetih območjih po poplavah avgusta 2023 z mobilnim signalom 5G, ki bo omogočal običajno razpoložljivo prenosno hitrost najmanj 100 Mb/s v smeri proti končnemu uporabniku tam, kjer območje v času objave tega javnega razpisa ni pokrito oziroma v naslednjih treh letih ne bo pokrito s tovrstnim signalom v skladu z Načrtom razvoja gigabitne infrastrukture do leta 2030 in Dodatkom k načrtu razvoja gigabitne infrastrukture do leta 2030 ter ZORZFS, ZEKom-2 ter Uredbo o uporabi javnih sredstev za gradnjo visokozmogljivih fiksnih širokopasovnih omrežij oziroma nadgradnjo obstoječih fiksnih omrežij, gradnjo mobilnih omrežij 5G, gradnjo zalednih omrežij in za spodbujanje povezljivosti.
2.3. Predmet javnega razpisa in območje izvajanja
Predmet javnega razpisa je sofinanciranje gradnje infrastrukture odprtih baznih postaj za mobilna omrežja 5G na prizadetih območjih po poplavah avgusta 2023, ki bodo omogočile pokrivanje z mobilnim signalom 5G z običajno razpoložljivo hitrostjo prenosa podatkov najmanj 100 Mb/s v smeri proti končnemu uporabniku zunaj stavb tam, kjer območja niso pokrita s takim signalom oziroma ne obstaja tržni interes zainteresiranih investitorjev za gradnjo tovrstne infrastrukture oziroma baznih postaj z zasebnimi sredstvi v naslednjih treh letih, ki bi ta področja pokrivale s tovrstnim signalom.
Pri tem infrastruktura odprte bazne postaje za potrebe tega javnega razpisa pomeni del infrastrukture omrežij elektronskih komunikacij, ki je namenjen postavitvi radijskega dela baznih postaj in ki je dostopen pod enakimi pogoji vsem zainteresiranim izvajalcem mobilnih komunikacijskih storitev za pokrivanje z mobilnim signalom 5G, ki bo omogočal običajno razpoložljivo hitrost prenosa podatkov najmanj 100 Mb/s v smeri proti končnemu uporabniku zunaj stavb.
Običajna razpoložljiva hitrost prenosa podatkov je v skladu s Splošnim aktom o storitvah dostopa do interneta in s tem povezanih pravic končnih uporabnikov (Uradni list RS, št. 28/23) hitrost prenosa podatkov na omrežni priključni točki končnega uporabnika, ki je dosegljiva 90 % časa dneva in se meri izven vršnih ur, v primeru FWBA dostopa pa tudi izven časa, ko omrežje deluje v energetsko varčnem načinu. Običajno razpoložljiva hitrost v primeru FWBA dostopa ob uporabi namenske opreme nameščene na fiksni lokaciji končnega uporabnika mora znašati vsaj 50 % maksimalne pritočne in odtočne hitrosti povezave. Običajno razpoložljive hitrosti prenosa podatkov se ugotavlja z meritvami z orodjem AKOS Test Net.
V okviru tega javnega razpisa bodo sofinancirani upravičeni stroški za postavitev/gradnjo potrebnih objektov, njihove zaščite, stolpov, stebrov, drogov, antenskih nosilcev, električnega napajanja s pripadajočimi rezervnimi napajanji, kot so akumulatorsko napajanje in agregati, potrebne klimatizacije ter dostop do obstoječega optičnega omrežja ter po potrebi tudi brezžični linki za povezave do hrbteničnih omrežij in druge potrebne infrastrukture za delovanje radijskega dela mobilnega omrežja 5G.
Območja, ki jim bo gradnja take infrastrukture omogočala pokrivanje z mobilnim signalom 5G, ki bo omogočal običajno razpoložljivo hitrost prenosa podatkov najmanj 100 Mb/s v smeri proti končnemu uporabniku zunaj stavb, so hierarhične celice geografske koordinatne mreže velikosti 100 m, ki so definirane v D96/TM koordinatnem sistemu (v nadaljevanju: celice 100 m) in so za potrebe zadevnega javnega razpisa določena na območjih, na katerih so operaterji elektronskih komunikacij (v nadaljevanju: operaterji) po poplavah avgusta 2023 izkazali škodo na svojih omrežjih in ki obsegajo naslednje občine: Braslovče, Brda, Brežice, Cerklje na Gorenjskem, Črna na Koroškem, Dobrna, Dobrova - Polhov Gradec, Dol pri Ljubljani, Domžale, Dravograd, Gorenja vas - Poljane, Gornji Grad, Hrastnik, Idrija, Kamnik, Komenda, Kostanjevica na Krki, Kranj, Laško, Litija, Ljubljana, Ljubno, Luče, Medvode, Mengeš, Mežica, Mislinja, Mozirje, Nazarje, Nova Gorica, Novo mesto, Polzela, Prebold, Preddvor, Prevalje, Radovljica, Ravne na Koroškem, Rečica ob Savinji, Ribnica, Slovenj Gradec, Sodražica, Solčava, Škofja Loka, Šmartno ob Paki, Štore, Tolmin, Trzin, Tržič, Velenje, Vitanje, Zagorje ob Savi, Žalec, Železniki, Žiri in Žirovnica. Seznam teh celic 100 m je v Prilogi 2 razpisne dokumentacije.
Predmet javnega razpisa je sofinanciranje gradnje infrastrukture odprte bazne postaje za mobilna omrežja 5G na posamezni lokaciji. Posamezna lokacija lahko pokriva območja ene ali več občin in je od lokacije najbližje obstoječe bazne postaje oddaljena najmanj 3 km. Za vsako posamezno lokacijo je potrebno oddati svojo vlogo, ki ima Naziv odprte bazne postaje (Obrazec št. 1) in se jo poimenuje glede na značilnost lokacije.
Upravičeni stroški vključujejo tudi najem ali nakup posameznih delov oziroma celotne obstoječe infrastrukture ali omrežij. Najem in neodtujljiva, neomejena in nepreklicna pravice do uporabe (IRU) posameznih delov oziroma celotne obstoječe infrastrukture ali omrežij za obdobje največ 20 let bo upravičenec dokazal s predložitvijo sklenjene pogodbe, računa in dokazila o plačilu takšnega stroška.
Dodelitev sredstev bo potekala v dveh odpiranjih oziroma do porabe razpoložljivih javnih sredstev, ki je 4.200.000,00 EUR.
V investiciji vsake posamezne vloge morajo zasebna sredstva presegati 30 % celotne vrednosti vseh upravičenih stroškov investicije.
Na podlagi tega javnega razpisa se projekt, za sofinanciranje katerega se odobrijo sredstva, imenuje operacija.
3. Potencialni prijavitelji
V skladu s priglašeno shemo državne pomoči »Gradnja visokozmogljivih mobilnih omrežij 5G – Sklad za obnovo« (št. priglasitve: BE05-2632586-2024) lahko na zadevni javni razpis kandidirajo prijavitelji, ki so registrirani kot operaterji elektronskih komunikacij in so v skladu s 5. členom ZEKom-2 AKOS že obvestili o nameri zagotavljanja javnih komunikacijskih omrežij.
Na javni razpis prijavitelj kandidira sam. Kandidiranje kot projektno partnerstvo, tj. konzorcij na zadevnem javnem razpisu ni možno.
Prijavitelj lahko nastopa s podizvajalci.
Izbrani prijavitelj lahko podizvajalce v skladu z razpisnimi pogoji izbere tudi v času izvajanja operacije. Prijavitelj v razmerju do ministrstva v celoti odgovarja za izvedbo operacije, ne glede na število podizvajalcev, ki jih bo vključil vanjo.
Prijaviteljem, katerih projekti bodo izbrani na podlagi tega javnega razpisa, bodo sofinancirani stroški izvedbe operacij iz sredstev Sklada za obnovo (proračunska postavka: 230726 MDP, Sklad za obnovo, Bazne postaje – 81. čl. ZORZFS) kot dovoljena državna pomoč v skladu s priglašeno shemo državne pomoči »Gradnja visokozmogljivih mobilnih omrežij 5G – Sklad za obnovo« (št. priglasitve: BE05-2632586-2024).
Iz vsebine priglašene sheme državne pomoči »Gradnja visokozmogljivih mobilnih omrežij 5G – Sklad za obnovo« (št. priglasitve: BE05-2632586-2024) izhaja, da je pomoč namenjena točno določenemu sektorju in ne bo namenjena podjetjem, dejavnim v naslednjih sektorjih:
– sektor ribištva in akvakulture,
– primarni sektor kmetijske proizvodnje,
– sektor predelave in trženja kmetijskih proizvodov,
– za lažje zaprtje nekonkurenčnih premogovnikov.
Postopek dodelitve in upravičenost do javnih sredstev sta določena v 11. in 12. členu Uredbe o uporabi javnih sredstev za gradnjo visokozmogljivih fiksnih širokopasovnih omrežij oziroma nadgradnjo obstoječih fiksnih omrežij, gradnjo mobilnih omrežij 5G, gradnjo zalednih omrežij in za spodbujanje povezljivosti (Uradni list RS, št. 24/24) v povezavi s 5. in 20. členom ZEKom-2 ter v skladu s priglašeno shemo državne pomoči »Gradnja visokozmogljivih mobilnih omrežij 5G – Sklad za obnovo« (št. priglasitve: BE05-2632586-2024).
Državna pomoč je namenjena točno določenemu širokopasovnemu sektorju kot pomoč za naložbe v razvoj širokopasovnih omrežij, ki jo določa Uredba 651/2014/EU.
4. Pogoji in zahteve za kandidiranje na javnem razpisu
Vloga prijavitelja mora izpolnjevati vse pogoje in zahteve javnega razpisa in razpisne dokumentacije.
Prijavitelj na javni razpis lahko kandidira za eno ali več lokacij. Če kandidira za več lokacij, odda vlogo za vsako lokacijo posebej. Za vsako lokacijo lahko prijavitelj kandidira samo enkrat v okviru določenega roka odpiranja – variantne ponudbe niso dovoljene.
V primeru, da se neizpolnjevanje pogojev ugotovi po izdaji sklepov o izboru, se pogodbe o sofinanciranju operacij s tem prijaviteljem ne bodo sklenile, sklepi o izboru pa se odpravijo.
V primeru, da se neizpolnjevanje pogojev ugotovi po podpisu pogodb o sofinanciranju, lahko ministrstvo odstopi od teh pogodb o sofinanciranju operacij, pri čemer bo izbrani prijavitelj dolžan vrniti že prejeta sredstva skupaj z zakonskimi zamudnimi obrestmi od dneva nakazila sredstev na njegov transakcijski račun do dneva vračila sredstev v proračun Republike Slovenije.
4.1. Splošni pogoji za kandidiranje
Prijavitelj mora izpolnjevati naslednje pogoje:
Vloga na javni razpis za dodelitev nepovratnih sredstev mora biti v slovenskem jeziku.
Priloženi obrazci, izjave in priloge morajo biti v celoti izpolnjeni, podpisani ter žigosani, če prijavitelj uporablja žig. Če je vloga oddana v fizični obliki, morajo biti obrazci, izjave in priloge zloženi po vrstnem redu, kot je določeno v razpisni dokumentaciji in kot ga določa Kontrolnik za popolnost vloge (Obrazec št. 21) ter povezani in speti tako, da jih ni mogoče neopazno odvzemati ali dodajati. Vsaka vloga v fizični obliki mora biti v svoji ovojnici. Če prijavitelj odda vlogo v elektronski obliki, mora vloga vsebovati vse obrazce, izjave in priloge, kot jih določa Kontrolnik za popolnost vloge (Obrazec št. 21). Vsi morajo biti priloženi v priponkah elektronske vloge in na zahtevanih mestih podpisani z naprednim elektronskim podpisom, ki temelji na kvalificiranem potrdilu za elektronske podpise, zakonitega zastopnika ali pooblaščene osebe prijavitelja.
Izpolnjevanje splošnih pogojev se izkaže z naslednjimi obrazci iz razpisne dokumentacije:
– Prijavni obrazec za posamezno lokacijo (Obrazec št. 1).
– Osnovni podatki o prijavitelju in podizvajalcih (Obrazec št. 2)
Osnovnim podatkom o prijavitelju se priložijo tudi podatki o vseh morebitnih že izbranih podizvajalcih (Obrazec št. 3: Podatki o podizvajalcu) ter pogodbe z vsemi morebitnimi podizvajalci (Obrazec št. 4: Dogovor s podizvajalci).
– Izpolnjevanje razpisnih pogojev prijavitelja (Obrazec št. 5: Izjava o strinjanju in sprejemanju pogojev)
Glede izpolnjevanja razpisnih pogojev prijavitelj podpiše izjavo, s katero pod kazensko in materialno pravno odgovornostjo potrdi izpolnjevanje in sprejemanje razpisnih pogojev za kandidiranje na tem javnem razpisu (Obrazec št. 5: Izjava o strinjanju in sprejemanju pogojev). Ministrstvo lahko izvede preveritev določenih pogojev z vpogledom v javne evidence. V primeru dvoma glede izpolnjevanja pogojev lahko ministrstvo zahteva dodatna pojasnila ali dokazila.
Vsebina izjave:
– vloga je v skladu z vsemi zahtevami javnega razpisa in razpisne dokumentacije; 
– strinjanje z vsemi pogoji in zahtevami javnega razpisa in razpisne dokumentacije; 
– prijavitelj je vpisan v uradno evidenco kot operater elektronskih komunikacij v skladu s 5. členom ZEKom-2;
– nima neporavnanega naloga za izterjavo zaradi predhodne odločbe Evropske komisije, ki je pomoč razglasila za nezakonito in nezdružljivo z notranjim trgom; 
– nima neporavnanih nalogov za vračilo za preveč izplačane pomoči po pravilu de minimis ali državne pomoči na podlagi predhodnega poziva Ministrstva za finance; 
– nima na dan vložitve vloge neporavnane zapadle davčne obveznosti in druge denarne nedavčne obveznosti v skladu z zakonom, ki ureja finančno upravo, v višini, ki presega 50 EUR; 
– ni insolventen ali v stanju kapitalske neustreznosti v skladu s predpisi o finančnem poslovanju podjetij; 
– ni izvedel gradnje oziroma izvedel zavezujočega naročila opreme pred objavo javnega razpisa v Uradnem listu RS; 
– redno izplačuje plače in socialne prispevke; 
– da bo sredstva nadomestil iz lastnih virov, v primeru da zasebni viri za izvedbo celotne operacije ne bodo pridobljeni; 
– bo vodil stroške in prihodke tako v času gradnje, kot tudi upravljanja in vzdrževanja na ločenem stroškovnem mestu za vsako operacijo posebej; 
– prijavitelju ni izrečena pravnomočna sodba, ki ima elemente kaznivih dejanj iz prvega odstavka 75. člena ZJN-3; 
– prijavitelju ni podana prepoved poslovanja v razmerju do ministrstva v obsegu, kot izhaja iz 35. člena ZIntPK; 
– prijavitelj ni v težavah – za ugotavljanje se smiselno uporablja 18. točko 2. člena Uredbe 651/2014/EU; 
– projekt ima zaključeno finančno konstrukcijo oziroma so ob upoštevanju virov po zadevnem javnem razpisu zagotovljeni vsi ostali viri za izvedbo celotne operacije; 
– če izbrani prijavitelj ni zavezanec za uporabo ZJN-3, bo pri izboru zunanjih izvajalcev spoštoval temeljna načela javnega naročanja ter njihovo smiselno uporabo s povpraševanjem na trgu na naslednji način: 
– postopek povpraševanja izvede in pridobi vsaj tri ponudbe, v primeru manjšega števila pridobljenih ponudb se predloži utemeljitev z dokazili ali 
– postopek povpraševanja izvede po svojih internih navodilih, kadar so le-ta enaka ali strožja od določb glede izbora zunanjih izvajalcev tega javnega razpisa; 
– prijavitelj bo na svoji uradni spletni strani in na svojih straneh družbenih medijev zagotovil kratek opis operacije, vključno z njenimi cilji in rezultati, pri čemer se izpostavi finančna podpora Republike Slovenije, ter na sofinanciranih objektih namestil trajne table ali panoje, ki jasno označujejo operacijo in njeno sofinanciranje s strani Republike Slovenije; 
– prijavitelj je seznanjen, da bo vključen v seznam končnih uporabnikov, ki bo elektronsko ali drugače javno objavljen in bo vseboval ime operacije, naziv končnega uporabnika in znesek javnih virov sofinanciranja operacije; 
– prijavitelj je seznanjen, da kumulacija pomoči za iste upravičene stroške ni dovoljena; 
– prijavitelj bo hranil dokumentacijo v zvezi z operacijo v skladu z veljavnimi predpisi (zakonom, ki ureja varstvo dokumentarnega in arhivskega gradiva ter arhive in smiselno uporabo Uredbe 651/2014/EU) še pet (5) let po zaključku operacije za potrebe revizije oziroma kot dokazila za potrebe bodočih preverjanj; 
– prijavitelj bo omogočil dostopnost dokumentacije operacije ministrstvu, ter vsem revizijskim in nadzornim organom; 
– prijavitelj bo zagotavljal enake možnosti v skladu z zakonodajo, ki pokriva področje zagotavljanja enakih možnosti; 
– prijavitelj bo dokumentirano spremljal in prikazoval neto prihodke operacije. Prihodke bo evidentiral in spremljal na ločenem stroškovnem mestu ali po ustrezni računovodski kodi, zaradi česar bo možen ločen izpis iz računovodskih evidenc; 
– prijavitelj bo za namen spremljanja in vrednotenja operacije spremljal in ministrstvu zagotavljal podatke o doseganju ciljev operacije na vsake tri mesece; 
– da je seznanjen o obdobju trajanja operacije in upravičenih stroškov ter izdatkov operacije; 
– da je seznanjen s posledicami, če se ugotovi, da je v postopku potrjevanja operacije ali izvrševanja operacije prišlo do resnih napak, nepravilnosti, goljufije ali kršitve obveznosti; 
– da je seznanjen s posledicami, ki bi nastale ob ugotovitvi dvojnega sofinanciranja posamezne operacije, neupoštevanja veljavne zakonodaje in navodil v vseh postopkih izvajanja operacije ali če delež sofinanciranja operacije preseže maksimalno dovoljeno stopnjo; 
– da bo pri izvedbi operacije dosledno upošteval vso veljavno evropsko in nacionalno zakonodajo; 
– da soglaša, da ministrstvo zbira in obdeluje osebne podatke lastnikov prijavitelja in lastnikov morebitnih podizvajalcev v sistemu MFERAC; 
– da ima vzpostavljen svoj enotni informacijski sistem za pregledovanje, naročanje in upravljanje storitev oziroma, da je enotni informacijski sistem v postopku vzpostavljanja in bo vzpostavljen pred podpisom pogodbe o sofinanciranju na podlagi tega razpisa; 
– prijavitelj izjavlja, da so navedeni podatki resnični. 
– Bonitetna ocena prijavitelja (Obrazec št. 6)
Če je prijavitelj novoustanovljeno podjetje, ki še nima bonitetne ocene, se preverjajo bonitetne ocene povezanih podjetij in prevzemanje obveznosti le-teh za to novoustanovljeno podjetje.
Če novoustanovljeno podjetje ne more predložiti bonitetne ocene, niti nima povezanih podjetij, prijava na razpis ni mogoča.
Priloži se zadnja bonitetna ocena podjetja, ki ne sme biti nižja od AJPES SB9 oziroma po Moody’s nižja od B1 ali po Fitch oziroma S&P nižja od B+, ki na dan oddaje vloge ni starejša od 30 dni.
– Podatki o povezanih podjetjih prijavitelja (Obrazec št. 7).
Povezana podjetja so v skladu s 3. členom Priloge I Uredbe 651/2014/EU podjetja, med katerimi obstaja vsaj eno od naslednjih razmerij:
(a) podjetje ima večino glasovalnih pravic delničarjev ali družbenikov v drugem podjetju;
(b) podjetje ima pravico, da imenuje ali odstavi večino članov upravnega, upravljavskega ali nadzornega organa v drugem podjetju;
(c) podjetje ima pravico, da izvaja prevladujoč vpliv nad drugim podjetjem na podlagi pogodbe, podpisane s tem podjetjem, ali določbe v statutu tega podjetja;
(d) podjetje, ki je delničar ali družbenik drugega podjetja, na podlagi sporazuma z drugimi delničarji ali družbeniki tega podjetja samo nadzoruje večino glasovalnih pravic delničarjev ali družbenikov v tem podjetju.
Domneva, da v podjetju ni prevladujočega vpliva, obstaja, če se investitorji iz drugega pododstavka odstavka 2 člena 3 ne vključujejo, neposredno ali posredno, v upravljanje zadevnega podjetja, ne glede na svoje pravice kot delničarji podjetja.
Kot povezana se obravnavajo tudi podjetja, ki imajo z enim ali več povezanimi podjetji katero koli razmerje, opisano v prvem pododstavku, ali vsi investitorji iz odstavka 2 člena 3.
Kot povezana podjetja se obravnavajo tudi podjetja, ki so med seboj povezana preko fizične osebe ali skupine fizičnih oseb, ki skupno delujejo, če opravljajo svojo dejavnost ali del svoje dejavnosti na istih upoštevnih trgih ali na sosednjih trgih.
Za povezane družbe se štejejo tudi podjetja, ki so povezana prek lastniških deležev fizičnih oseb, z upoštevanjem določil Priloge I Uredbe 651/2014/EU.
Za opredelitev malih in srednjih podjetij se upoštevajo določila iz Priloge 1 Uredbe št. 651/2014/EU.
Ob tem drugi odstavek 6. člena te priloge določa, da se za podjetje, ki ima povezana podjetja, podatki tudi glede števila zaposlenih določijo na podlagi računovodskih izkazov in drugih podatkov podjetja ali na podlagi konsolidiranih zaključnih računov podjetja, v katerega je podjetje vključeno za namene konsolidacije, če ti obstajajo.
– Izjava, da prijavitelj/podizvajalec soglaša s pridobitvijo podatkov iz registra dejanskih lastnikov Agencije Republike Slovenije za javnopravne evidence in storitve (v nadaljevanju: AJPES) (Obrazec št. 8).
– Izjava, da prijavitelj/podizvajalec soglaša, da se za namene revizije in nadzora in za zagotovitev primerljivih informacij o porabi sredstev med drugim zbirajo tudi podatki o imenih, priimkih in datumih rojstva dejanskih lastnikov, če je zavezanec za vpis podatkov v Register dejanskih lastnikov (Obrazec št. 9). Dejanski lastniki so opredeljeni v Zakonu o preprečevanju pranja denarja in financiranja terorizma (ZPPDFT-2) (Uradni list RS, št. 48/22 in 145/22). V kolikor je končni prejemnik zavezan k vpisu podatkov v Register dejanskih lastnikov, ki ga vzdržuje in upravlja AJPES skladno z 48. členom ZPPDFT-2, se šteje, da so podatki o njegovih dejanskih lastnikih razvidni iz omenjenega registra.
Za namen preverjanja prijavitelj ustrezno izpolni in v vlogi priloži pooblastilo: Obrazec št. 19: Pooblastilo za pridobitev potrdila iz kazenske evidence pravnih oseb in za pridobitev podatkov FURS.
4.2. Dokumentacija za izvedbo operacije
Prijavitelj mora za vsako lokacijo, za katero sofinanciranje kandidira, priložiti svojo vlogo in pripadajočo dokumentacijo za izvedbo projekta, kot je določeno v Kontrolniku za popolnost vloge (Obrazec št. 21).
Prijavitelj mora predložiti dokumentacijo za izvedbo projekta posebej za vsako prijavljeno lokacijo, na podlagi katere bo gradil infrastrukturo odprtih baznih postaj za mobilna omrežja 5G. Dokumentacija za izvedbo projekta mora vsebovati:
– investicijsko dokumentacijo, ki mora biti izdelana ob smiselni uporabi Uredbe o enotni metodologiji za pripravo in obravnavo investicijske dokumentacije na področju javnih financ (Uradni list RS, št. 60/06, 54/10 in 27/16, v nadaljevanju: UEM),
– projektno dokumentacijo v obliki idejne zasnove za pridobitev projektnih in drugih pogojev.
Izpolnjevanje zahtev, vezanih na investicijsko in projektno dokumentacijo, se dokazuje z dokumentacijo iz tega poglavja.
4.2.1. Investicijska dokumentacija
Prijavitelj mora priložiti naslednje:
– investicijsko dokumentacijo (Obrazec št. 10), ki mora biti za vsako lokacijo posebej izdelana ob smiselni uporabi UEM in vsebuje:
– kratko predstavitev prijavitelja; 
– povzetek projektne dokumentacije: 
– kratek opis ter utemeljitev izbrane optimalne variante gradnje; 
– navedbo odgovorne osebe za izdelavo investicije, projektne dokumentacije, odgovornega vodje za izvedbo investicije ter odgovornega nadzornika del; 
– predvideno organizacijo in druge potrebne prvine za izvedbo in spremljanje učinkov investicije, če ni posebej izdelana študija izvedbe investicije; 
– kratko analizo obstoječega stanja, s prikazom potreb, ki jih bo zadovoljevala investicija; 
– časovni načrt izvedbe operacije s popisom vseh aktivnosti in organizacijo vodenja projekta ter izdelano analizo izvedljivosti (Obrazec št. 11).
Gradnja mora biti dokončana in vsi zahtevki za izplačilo (v nadaljevanju: ZZI) morajo biti predloženi na ministrstvo do 20. 11. 2026. Realizacija gradnje mora biti predvidena mesečno in letno;
– predvideno dinamiko črpanja sredstev ter načrt sofinanciranja operacije v tekočih cenah (Obrazec št. 12). Pri tem mora biti razvidna razčlenitev stroškov na upravičene in neupravičene stroške za izvedbo projekta. Upravičeni stroški morajo biti razdeljeni na upravičene stroške, ki bodo sofinancirani z javnimi sredstvi in upravičene stroške, ki bodo sofinancirani z zasebnimi sredstvi. Prav tako mora biti iz specifikacije upravičenih stroškov razvidno, da je za izvedbo projekta namenjenih več kot 30 % zasebnih sredstev upravičenih stroškov prijavitelja.
4.2.2. Projektna dokumentacija
Prijavitelj mora priložiti naslednje:
– projektno dokumentacijo (Obrazec št. 13) v obliki idejne zasnove za pridobitev projektnih in drugih pogojev, ki vsebuje najmanj:
1. razvidno pokrivanje geografskih območij, ki so bele lise in katerih pokrivanje bo omogočila lokacija odprte bazne postaje. Prijavitelj seznam celic 100 m, ki so bele lise in katerih pokrivanje z mobilnim signalom 5G, ki bo omogočal običajno razpoložljivo hitrost prenosa podatkov najmanj 100 Mb/s v smeri proti končnemu uporabniku zunaj stavb, bo omogočila lokacija odprte bazne postaje, poda v Obrazcu št. 14;
2. grafični prikaz pokrivanja geografskih območij – belih lis z mobilnim signalom 5G, ki bo omogočal običajno razpoložljivo hitrost prenosa podatkov najmanj 100 Mb/s v smeri proti končnemu uporabniku zunaj stavb;
3. idejno zasnovo projekta, ki vključuje zasnovo objekta, ki ga prijavitelj namerava postaviti/zgraditi, potrebnega dostopovnega/zalednega/hrbteničnega omrežja elektronskih komunikacij, električnega napajanja ter rezervnih napajanj ter vse potrebne opreme ter naprav;
4. ustrezne grafične priloge (seznam risb objekta, situacijski potek trase širokopasovnega omrežja in električnega napajanja, shematski načrt infrastrukture ...);
5. opis gradbenih in montažnih del;
6. časovnico gradnje;
7. prikaz ocene predvidenih količin vgrajenih materialov, opreme, naprav, oceno predvidenih gradbenih in montažnih del, meritev in posredovanje podatkov o zgrajenih trasah (Obrazec št. 15: Tehnično-tehnološki del);
8. opis izpolnjevanja vseh zahtev razpisne dokumentacije iz poglavja 1.5.3 Zahteve za sofinancirano omrežje, ki še niso zajete v točkah od 1 do 7 v tej alineji.
– Izjavo o skladnosti projekta z načelom »ne škoduj bistveno« (DNSH) (Obrazec št. 17);
– Izpis iz ustreznega imenika inženirske zbornice za odgovorno osebo, ki bo opravljala neodvisen nadzor (Obrazec št. 18).
4.3. Zahteve za sofinancirano infrastrukturo
1. Izbrani prijavitelj bo moral nuditi odprt veleprodajni dostop do infrastrukture odprte bazne postaje za mobilna omrežja 5G, ki bo sofinancirana na podlagi tega javnega razpisa, v skladu s pravičnimi in nediskriminatornimi pogoji. Tak veleprodajni dostop mora izbrani prijavitelj na podlagi pogojev iz tega javnega razpisa zagotavljati za dostop do infrastrukture in za dostop do zgrajenega širokopasovnega omrežja za potrebe mobilnih omrežij 5G oziroma naslednjih generacij in to ves čas obstoja te infrastrukture. Zgrajena infrastruktura ter širokopasovno omrežje, za katero se bo dodelila pomoč, bo morala vedno omogočati dovolj kapacitet in nosilnosti za postavitev najmanj štirih mobilnih omrežij. Zgrajena infrastruktura zalednega omrežja, ki tvori dostop odprte bazne postaje do obstoječega optičnega omrežja, katerega gradnja bo sofinancirana z javnimi sredstvi, bo morala vedno omogočati še najmanj podvojitev števila optičnih vlaken brez izvedbe dodatnih gradbenih del, za primer potencialno izraženega interesa za njeno souporabo s strani drugih operaterjev v prihodnosti.
2. Infrastruktura odprte bazne postaje za mobilna omrežja 5G, ki bo sofinancirana na podlagi tega javnega razpisa, mora biti načrtovana tako, da bo njena lokacija omogočala pokrivanje območja z mobilnim signalom 5G, ki bo omogočal običajno razpoložljivo hitrost prenosa podatkov najmanj 100 Mb/s v smeri proti končnemu uporabniku zunaj stavb in to najmanj za 25 % vseh celic 100 m iz Priloge 2 razpisne dokumentacije, ki so v bližini bazne postaje. Bližina bazne postaje pomeni za ta javni razpis zračno razdaljo 3.000 m med lokacijo bazne postaje in najbližjo mejo celice 100 m iz Priloge 2 razpisne dokumentacije. Seznam celic 100 m, ki so bele lise in katerih pokrivanje z mobilnim signalom 5G, ki bo omogočal običajno razpoložljivo hitrost prenosa podatkov najmanj 100 Mb/s v smeri proti končnemu uporabniku zunaj stavb, bo omogočila lokacija odprte bazne postaje, prijavitelj poda v Obrazcu št. 14.
3. Infrastrukturo odprte bazne postaje za mobilna omrežja 5G sestavljajo potrebni objekti, njihova zaščita, stolpi, stebri, drogovi, antenski nosilci, električno napajanje s pripadajočimi rezervnimi napajanji za neprekinjeno delovanje celotne bazne postaje za najmanj 12 ur ob izpadu napajanja iz električnega omrežja, kot so akumulatorsko napajanje in agregati, potrebna klimatizacija ter dostop do obstoječega optičnega omrežja ter po potrebi, ko dostopa do optičnega omrežja ni mogoče izvesti, tudi brezžični linki za povezave do hrbteničnih omrežij in druge potrebne infrastrukture za delovanje radijskega dela mobilnega omrežja 5G. Odprta bazna postaja mora imeti tudi urejen dostop za ustrezna transportna vozila ter druge pripadajoče naprave in opremo, ki so potrebni za nemoteno delovanje, upravljanje in vzdrževanje mobilnih omrežij 5G.
4. Izbrani prijavitelj bo moral vsem operaterjem zagotoviti možnost uporabe informacijskega sistema, ki bo enoten za vse operaterje vključno z maloprodajnimi enotami, ki so v njegovi lasti ali v lasti z njim kapitalsko povezanih družb. Preko tega informacijskega sistema bo moral zagotavljati učinkovito izvajanje procesov glede poizvedb, naročil, odprave napak vključno z informacijami o tem, kdaj bo oziroma je bila gradnja končana, kakšne so tehnične značilnosti in kapacitete odprte bazne postaje ter vzorčno ponudbo. Preko le tega mora zagotoviti sprotno obveščanje o rokih za odpravo napak, takoj po odpravi pa o vzrokih za nastanek napak in o odpravi prijavljene napake, ter o vseh ostalih fazah in postopkih reševanja na neizbrisen in sledljiv način. Izbranemu prijavitelju in operaterjem mora biti omogočeno, da vse do jasne razmejitve napake skupaj odpravljata napako. Izbrani prijavitelj odpravlja napako, če je ta nastala na infrastrukturi odprte bazne postaje, operater pa, če je nastala na njegovem omrežju. Ker izbrani prijavitelj dobi plačilo za izvajanje veleprodajne storitve, je njegova obveznost, da vse do jasne razmejitve napake aktivno sodeluje pri iskanju in morebitni odpravi napake.
5. Izbrani prijavitelj bo moral ministrstvu ob predložitvi zadnjega ZZI priložiti tudi potrjeno poročilo pooblaščenega nadzornika gradnje o zaključeni gradnji infrastrukture s popisom vseh izvedenih del in da je pripravljena za postavitev mobilnih omrežij 5G ter potrdilo Geodetske uprave Republike Slovenije (v nadaljnjem besedilu: GURS), da je sporočil podatke o lokaciji in trasi, vrsti in trenutni uporabi novozgrajene infrastrukture v skladu s 15. členom ZEKom-2.
6. Izbrani prijavitelj bo moral na svojem zgoraj navedenem informacijskem sistemu za pregledovanje, naročanje in upravljanje storitev najaviti datum, kdaj bo odprta bazna postaja v celoti zgrajena ter pripravljena za postavitev mobilnih omrežij 5G in to vsaj trideset (30) koledarskih dni pred predvidenim zaključkom gradnje le te. Po zaključku njene gradnje pa bo moral izbrani prijavitelj najkasneje v osmih (8) koledarskih dneh javno objaviti na tem istem enotnem informacijskem sistemu na neizbrisen in sledljiv način datum zaključka njene gradnje.
7. Izbrani prijavitelj mora ob vlogi na javni razpis imeti zgoraj naveden enotni informacijski sistem že vzpostavljen oziroma je lahko v postopku njegovega vzpostavljanja. Dokazilo o vzpostavljanjem enotnem informacijskem sistemu mora izbrani prijavitelj obvezno predložiti ministrstvu pred podpisom pogodbe o sofinanciranju. V kolikor izbrani prijavitelj dokazila o vzpostavljanjem enotnem informacijskem sistemu ne predloži pred podpisom pogodbe, se pogodba ne sklene, sklep o izbiri tega projekta pa se razveljavi. Vzpostavitev enotnega informacijskega sistema ni sofinancirana v okviru tega javnega razpisa, tj. ni upravičen strošek.
8. Po javni objavi zaključka gradnje odprte bazne postaje bo moral izbrani prijavitelj na zahtevo zainteresiranemu operaterju omogočiti postavitev mobilnega omrežja 5G najkasneje v roku trideset (30) koledarskih dni od datuma naročila, ki bo podano v skladu s pogoji iz vzorčne ponudbe izbranega prijavitelja.
9. Izbrani prijavitelj bo moral na zgoraj navedenem informacijskem sistemu javno objaviti vzorčno ponudbo za vse ponujene modele odprtega veleprodajnega dostopa do infrastrukture te odprte bazne postaje, najkasneje v enem mesecu od sklenitve pogodbe o sofinanciranju. Vzorčna ponudba mora vsebovati najmanj naslednje elemente:
– dostop do informacij,
– definicije pojmov in okrajšave,
– tehnične značilnosti in kapacitete odprte bazne postaje,
– storitve vzorčne ponudbe,
– postopki zagotavljanja odprtega veleprodajnega dostopa do infrastrukture odprte bazne postaje vključno s postopki poizvedbe, naročila, izvedbe naročila, preklica naročila, izključitve, prehodov med operaterskimi storitvami, odprave napak in vzdrževanja omrežja,
– nivo zagotavljanja storitve in pogodbene kazni,
– medsebojno obveščanje,
– cene in zaračunavanje storitev vzorčne ponudbe,
– postopek sklenitve pogodbe,
– zavarovanje obveznosti,
– sankcije za kršitve pogojev, izključitve in omejitve odgovornosti,
– veljavnost in odpoved pogodb,
– sprememba vzorčne ponudbe,
– varovanje zaupnih podatkov,
– pravno nasledstvo,
– vzorci pogodb in obrazcev.
Vzorčna ponudba je obvezna priloga k vlogi na javni razpis (Obrazec št. 16: Vzorčna ponudba).
10. Izbrani prijavitelj bo moral oblikovati cene odprtega veleprodajnega dostopa do infrastrukture odprte bazne postaje na podlagi učinkovitih prirastnih stroškov vključno s pribitkom za skupne stroške. Pri tem mora upoštevati tudi naložbe v omrežje s primerno stopnjo donosnosti naložbe glede na vložena sredstva, kar predstavlja tehtano povprečje kapitala (ang. weighted average cost of capital – WACC). Navedeno pomeni, da morajo biti cene stroškovno naravnane in ne smejo biti višje od stroškov učinkovitega operaterja. Z navedeno metodo bo izbranemu prijavitelju omogočeno pokrivanje dejansko nastalih stroškov učinkovitega operaterja z upoštevanjem ustreznega donosa na vloženi kapital. Tako oblikovane veleprodajne cene dostopa bodo omogočale iskalcu dostopa do infrastrukture odprte bazne postaje učinkovito ponujanje kvalitetnih storitev elektronskih komunikacij. Ustrezno stopnjo donosa na vloženi kapital (Tehtano povprečje stroškov kapitala za NGA omrežje) določa agencija in jo objavlja na svoji spletni strani (trenutno veljavni WACC je objavljen na spletni strani: https://www.akos-rs.si/telekomunikacije/raziscite/regulacija-upostevnih-trgov/model-izracuna-wacc-za-cenovno-regulacijo-elektronskih-komunikacij). Pri oblikovanju se lahko upoštevajo le nastali učinkoviti strošek, morebitno neučinkovitost operaterja ter podvajanje in prenašanje stroškov je treba izločiti. Pri tem mora izbrani prijavitelj slediti pravičnim, objektivnim in preglednim merilom razporejanja stroškov. Stroškovne kalkulacije morajo dovolj podrobno prikazati investicijske (amortizacija) in operativne stroške, pri čemer mora pri investicijskih stroških ločeno prikazati subvencioniran del, saj se ta del ne upošteva pri oblikovanju veleprodajnih cen dostopa.
11. Izbrani prijavitelj bo moral zagotoviti, da rok za odpravo napak na infrastrukturi odprte bazne postaje ne znaša več kot dva (2) delovna dneva od prijave napake, pri čemer bo moral 60 % vseh napak odpraviti v enem (1) delovnem dnevu. Rok se v primeru težjih napak lahko podaljša za največ deset (10) delovnih dni, pri čemer bo moral o podaljšanju roka ustrezno seznaniti operaterje in navesti ter utemeljiti razloge, iz katerih izhaja, da gre za težjo napako. Izbrani prijavitelj bo operaterjem na podlagi njihovih zahtev moral omogočiti tudi sklenitev dogovora o zagotavljanju posebnega nivoja storitve (ang. service level agreement – SLA).
12. Prijavitelj mora pri načrtovanju infrastrukture, katere gradnja bo sofinancirana z javnimi sredstvi, preučiti vse potencialne možnosti souporabe obstoječe fizične infrastrukture, objektov in naprav vseh operaterjev elektronskih komunikacij ter infrastrukturnih operaterjev, kot tudi tiste, katerih gradnja ali postavitev je na tem območju že načrtovana v naslednjih treh letih. S tem ter tudi drugimi ukrepi mora pozitivno vplivati na znižanje stroškov ter zmanjšanje vplivov posegov v prostor ter s tem uresničevati načela trajnostnega razvoja v skladu z načelom »ne škoduj bistveno« (DNSH).
Dostop do obstoječe fizične infrastrukture ureja 139. člen ZEKom-2. Fizična infrastruktura pomeni v skladu z 10. točko 3. člena ZEKom-2 kateri koli element omrežja, namenjen namestitvi drugih elementov omrežja, ne da bi sam postal aktiven element omrežja, na primer cevi, drogovi, kanali, revizijski jaški, vstopni jaški, omarice, stavbe ali dostopi v stavbe, antenski nosilci in stolpi. Pri tem kabli, vključno z optičnimi vlakni, in vodovodna omrežja, ki se uporabljajo za prehranske potrebe ljudi, ne pomenijo fizične infrastrukture.
Ustanovitev služnosti, ki je potrebna za gradnjo, postavitev, obratovanje ali vzdrževanje infrastrukture odprte bazne, ureja 27. člen ZEKom-2.
13. Izbrani prijavitelj bo moral zagotoviti, da rezultati operacije ne bodo odtujeni, cedirani, zastavljeni, prodani ali uporabljeni za namen, ki ni v povezavi s sofinancirano operacijo, v času veljavnosti pogodbe.
V primeru spremembe zakonodaje ali spremembe regulatornih ukrepov na trgu, ki bi povzročile potrebne spremembe na področjih gradnje, upravljanja in vzdrževanja sofinancirane infrastrukture odprte bazne postaje, ministrstvo ne prevzema nobene odgovornosti, zato izbranemu prijavitelju iz tega naslova ne pripada nobena finančna kompenzacija, morebitne finančne posledice pa bo moral pokriti iz zasebnih sredstev.
5. Pričakovani rezultati operacij
Izbrani prijavitelj bo moral v okviru izvedbe operacije vzpostaviti infrastrukturo odprte bazne postaje za mobilna omrežja 5G, ki bo omogočala pokrivanje območja z mobilnim signalom 5G, ki bo omogočal običajno razpoložljivo hitrost prenosa podatkov najmanj 100 Mb/s v smeri proti končnemu uporabniku zunaj stavb.
Rok za doseganje pričakovanih rezultatov operacij je do 20. 11. 2026.
Ministrstvo bo od sklenitve pogodbe na vsake tri (3) mesece preverjalo izvajanje časovnice aktivnosti izbranega prijavitelja. Če ugotovi, da operacija ne poteka v skladu s predvideno časovnico, ministrstvo izbranega prijavitelja na to pisno opozori in mu določi, da v roku 30 dni od prejema pisnega opozorila izvede aktivnosti v skladu s predvideno časovnico. Če pomanjkljivosti v tem roku ne odpravi oziroma se neizvajanje časovnice aktivnosti večkrat ponovi, lahko ministrstvo odstopi od pogodbe, upravičenec pa mora vrniti prejeta sredstva po tej pogodbi v roku 30 (tridesetih) dni od prejema pisnega poziva ministrstva, povečana za zakonite zamudne obresti od dneva nakazila na TRR upravičenca do dneva nakazila v dobro proračuna Republike Slovenije.
Poleg tega bo ministrstvo preverilo celotno izvedbo operacije tudi na dan 31. 12. 2026.
6. Finančna zavarovanja
Zavarovanje za dobro izvedbo pogodbenih obveznosti.
Izbrani prijavitelj bo moral ob podpisu pogodbe oziroma najkasneje v roku 10 (desetih) delovnih dni od podpisa pogodbe ministrstvu dostaviti za zavarovanje za dobro izvedbo pogodbenih obveznosti v višini 10 % skupne pogodbene vrednosti z veljavnostjo še 3 (tri) mesece po izteku pogodbe pet (5) bianco menic in menično izjavo s pooblastilom za izpolnitev.
Ministrstvo bo unovčilo zavarovanje za dobro izvedbo pogodbenih obveznosti, če upravičenec ne bo imel opravičljivega razloga, s katerim se bo ministrstvo pisno strinjalo, v naslednjih primerih:
– če izbrani prijavitelj ne bo pričel izvajati svojih pogodbenih obveznosti v skladu z določili pogodbe ali
– če izbrani prijavitelj ne bo izpolnil svojih pogodbenih obveznosti v skladu z določili pogodbe ali
– če izbrani prijavitelj ne bo pravočasno izpolnil svojih pogodbenih obveznosti v skladu z določili pogodbe ali
– če izbrani prijavitelj ne bo pravilno izpolnil svojih pogodbenih obveznosti v skladu z določili pogodbe ali
– če bo izbrani prijavitelj prenehal izpolnjevati svoje pogodbene obveznosti v nasprotju z določili pogodbe.
Če se bodo med trajanjem pogodbe spremenili roki za izvedbo operacije, bo moral izbrani prijavitelj temu ustrezno spremeniti tudi zavarovanje oziroma podaljšati njegovo veljavnost.
Menično izjavo bo moral izbrani prijavitelj predložiti na vzorcu razpisne dokumentacije (Priloga 3: Menična izjava s pooblastilom za unovčenje menice).
7. Merila za izbor prijaviteljev, ki izpolnjujejo pogoje in zahteve tega javnega razpisa
Merila za določitev vrstnega reda vlog prijaviteljev, ki so prispele pravočasno do roka posameznega odpiranja in ki izpolnjujejo vse pogoje tega javnega razpisa, so:
Št.
Merila
Najvišje možno število točk
M1
Delež omogočenih pokritih celic 100 m nad 25 % števila vseh celic 100 m iz PRILOGE 2, ki so v bližini bazne postaje
25
M2
Delež pokritosti gospodinjstev
10
M3
Delež zasebnih sredstev upravičenih stroškov
30
M4
Oddaljenost od najbližje bazne postaje
30
M5
Gostota prebivalstva v občini
5
M
Skupaj 
100
Največje možno skupno število točk vseh meril skupaj je 100.
Opis meril:
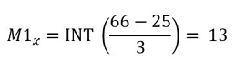
M1 – Delež omogočenih pokritih celic 100 m nad 25 % števila vseh celic 100 m iz Priloge 2, ki so v bližini bazne postaje (bližina bazne postaje pomeni za ta javni razpis zračno razdaljo 3.000 metrov med lokacijo bazne postaje in najbližjo mejo celice 100 m iz Priloge 2):
Število točk merila M1 se izračuna tako, da vloga x za vsake dodatne polne (celoštevilske) 3 %, za kolikor je v njej predlagan delež pokritosti celic 100 m iz Priloge 2, ki so v bližini bazne postaje, večji od 25 %, dobi eno (1) točko.
Število točk posamezne vloge M1x se izračuna po naslednji formuli:Slika 1
Dx – delež pokritosti celic 100 m iz Priloge 2 razpisne dokumentacije, ki so v bližini bazne postaje vloge x
INT – je funkcija, ki število zaokroži navzdol do najbližjega celega števila
Primer:
Prijavitelj v svoji vlogi za lokacijo bazne postaje prijavi delež pokritosti celic 100 m iz Priloge 2 razpisne dokumentacije, ki so v bližini bazne postaje, 66 %:
Dx = 66Slika 2
M2 – Delež pokritosti gospodinjstev:
Število točk merila M2 se izračuna tako, da prijavitelj za vsakih polnih (celoštevilskih) 10 % pokritih gospodinjstev, ki jih bo bazna postaja pokrivala in ki se nahajajo v celicah 100 m iz Priloge 2, ki so v celoti ali delno v krogu oziroma se kroga s polmerom 3.000 m zračne razdalje okrog bazne postaje dotikajo, dobi eno (1) točko.
Število točk posamezne vloge M2x se izračuna po naslednji formuli:Slika 3
Gx – število pokritih gospodinjstev v krogu s polmerom 3.000 m zračne razdalje okrog bazne postaje vloge x
G – število vseh gospodinjstev v krogu s polmerom 3.000 m zračne razdalje okrog bazne postaje vloge x
INT – je funkcija, ki število zaokroži navzdol do najbližjega celega števila
Primer:
Število vseh gospodinjstev v krogu s polmerom 3.000 m zračne razdalje okrog bazne postaje vloge x je 1.276. Število pokritih gospodinjstev v krogu s polmerom 3.000 m zračne razdalje okrog bazne postaje vloge x, ki jih bo ta bazna postaja pokrila je 817:
Gx = 817 gospodinjstev
G = 1.276 gospodinjstevSlika 4
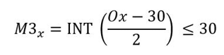
M3 – Delež zasebnih sredstev upravičenih stroškov:
Število točk merila M3 se izračuna tako, da vloga x za vsaka dodatna polna (celoštevilska) 2 %, za kolikor je njen predlagan zasebni delež upravičenih stroškov projekta večji od 30 %, dobi eno (1) točko. Najvišje možno število točk, ki ga lahko prijavitelj x dobi za to merilo je 30 točk kljub temu, da je tako izračunana vrednost lahko tudi večja od 30 točk.
Število točk posamezne vloge M3x se izračuna po naslednji formuli:Slika 5
Ox – odstotek zasebnega deleža upravičenih stroškov vloge x
INT – je funkcija, ki število zaokroži navzdol do najbližjega celega števila
Primer:
V vlogi x je prijavljen odstotek zasebnega deleža upravičenih stroškov 62,13 %:
Ox = 62,13Slika 6
M4 – Oddaljenost od najbližje bazne postaje:
Število točk merila M4 se izračuna tako, da vloga x za vsak dodaten poln (celoštevilski) kilometer zračne razdalje do najbližje sosednje obstoječe mobilne bazne postaje, ki je last kateregakoli operaterja mobilnih komunikacijskih omrežij, dobi tri (3) točke. Najvišje možno število točk, ki ga lahko prijavitelj x dobi za to merilo je 30 točk kljub temu, da je lahko ta zračna razdalja do najbližje mobilne bazne postaje tudi večja od 10 kilometrov.Slika 7
Rx – zračna razdalja bazne postaje vloge x do najbližje sosednje obstoječe mobilne bazne postaje v kilometrih
INT – je funkcija, ki število zaokroži navzdol do najbližjega celega števila
Primer:
V vlogi x je prijavljena zračna razdalja do najbližje sosednje obstoječe mobilne bazne postaje 6,34 km:
Rx = 6,34Slika 8
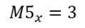
M5 – Gostota prebivalstva:
Število točk merila M5 dobi vloga x, katere lokacija odprte bazne postaje bo v občini, ki ima gostoto prebivalstva v eni izmed naslednjih kategorij:
– od vključno 0 do vključno 30 preb./km2
5 točk
– od vključno 30,1 do vključno 60 preb./km2
4 točk
– od vključno 60,1 do vključno 90 preb./km2
3 točk
– od vključno 90,1 do vključno 120 preb./km2
2 točk
– od vključno 120,1 do vključno 150 preb./km2
1 točk
– nad 150 preb./km2
0 točk
Primer:
V vlogi je prijavljena lokacija odprte bazne postaje v občini, ki ima gostoto prebivalstva 84 preb./km2, ki spada v kategorijo od vključno 60,1 do vključno 90 preb./km2, za kar za to merilo prejme 3 točke:Slika 9
Skupno število točk vseh meril skupaj M se izračuna tako, da se sešteje število točk merila M1, merila M2, merila M3, merila M4 in merila M5.
 
M = M1 + M2 + M3 + M4 + M5 
 
V vsakem posameznem odpiranju bo imela prednost pri izbiri vloga z večjim skupnim številom vseh točk M.
V primeru več prijaviteljev z enakim skupnim številom vseh točk M, bo imela prednost vloga prijavitelja, ki bo imela večje število točk po merilu M1. V primeru več vlog z enakim številom vseh točk M in enakim številom točk po merilu M1, bo imela prednost vloga prijavitelja, ki bo imel večje število točk po merilu M2. V primeru več vlog z enakim številom vseh točk M in enakim številom točk po merilih M1 in M2, bo imela prednost vloga prijavitelja, ki bo imel večje število točk po merilu M3. V primeru več vlog z enakim številom vseh točk M in enakim številom točk po merilih M1, M2, in M3, bo imela prednost vloga prijavitelja, ki bo imel večje število točk po merilu M4. V primeru več vlog z enakim številom vseh točk M in enakim številom točk po merilih M1, M2, M3, M4 pa bo ministrstvo določilo vrstni red vlog glede na vrstni red prispetja teh vlog na ministrstvo.
V primeru, da se lokacije odprtih baznih postaj v vlogah prijaviteljev nahajajo v oddaljenosti, ki so manjše od 3 km, je postopek izbora naslednji: najprej se poišče vlogo, ki je najvišje uvrščena glede na zgoraj navedeni postopek. Nato se poišče vse vloge, ki so nižje uvrščene in se lokacije njihovih odprtih baznih postaj nahajajo v oddaljenosti manjše od 3 km od lokacije odprte bazne postaje najvišje uvrščene vloge, ter se jih izloči. Za tem se od ostalih vlog poišče naslednjo najvišje uvrščeno vlogo. Nato se poišče vse vloge, ki so nižje uvrščene in se lokacije njihovih odprtih baznih postaj nahajajo v oddaljenosti manjše od 3 km od lokacije odprte bazne postaje te vloge, ter se jih izloči. Ta postopek se ponavlja do zadnje uvrščene vloge.
Ministrstvo bo sredstva dodeljevalo po zgoraj določenem vrstnem redu do porabe razpoložljivih sredstev.
8. Okvirna višina sredstev, ki so na razpolago za javni razpis
Skupna višina sredstev javnega dela sofinanciranja, ki so na razpolago za izvedbo predmetnega javnega razpisa, znaša največ do 4.200.000,00 EUR.
Operacije se sofinancirajo na podlagi ZORZFS.
Javna sredstva bodo izplačana iz proračunske postavke 230726 MDP, Sklad za obnovo, Bazne postaje – 81. čl. ZORZFS.
Predvidena finančna dinamika po posameznih proračunskih letih je:
Proračunska postavka
Leto 2025 v EUR
Leto 2026 v EUR
Skupaj v EUR
230726 MDP, Sklad za obnovo, Bazne postaje – 81. čl. ZORZFS
1.000.000,00
3.200.000,00
4.200.000,00
Vrednost javnega dela sofinanciranja projekta posamezne vloge ne sme presegati 350.000,00 EUR. Če je v vlogi prijavitelja vrednost javnega sofinanciranja višja od te vrednosti, ministrstvo tako vlogo s sklepom zavrne.
Ministrstvo si pridržuje pravico, da glede na razpoložljiva sredstva po posameznih proračunskih letih izbranim prijaviteljem predlaga prilagoditev dinamike sofinanciranja.
Izvedba postopka javnega razpisa je vezana na proračunske zmogljivosti ministrstva.
9. Obdobje izvajanja in obdobje upravičenosti stroškov
Obdobje, v katerem so na voljo sredstva, razpisana v okviru zadevnega javnega razpisa, sta proračunski leti 2025 ter 2026 in morajo biti izplačana najkasneje do 31. 12. 2026 in to v plačilnih rokih, kot jih določa vsakokratni veljavni zakon, ki ureja izvrševanje proračunov RS.
Obdobje upravičenosti stroškov traja od objave javnega razpisa v Uradnem listu RS do konca izvajanja projekta, kot ga določi prijavitelj v vlogi, vendar najkasneje do 20. 11. 2026.
Rok za predložitev ZZI-jev za črpanje sredstev v letu 2025 je najkasneje do 20. 11. 2025. Za oddaje ZZI-jev po tem datumu ministrstvo ne jamči za izplačila v letu 2025. Rok za predložitev zadnjega ZZI-ja je do 20. 11. 2026.
Dodeljena sredstva se bodo izplačevala po gradbenih situacijah. ZZI-ji po situacijah bodo potrjeni, če bodo vsebovali tudi zapis o zgrajeni infrastrukturi, ki ga bo potrdil pooblaščeni nadzornik gradnje. Zadnji ZZI bo potrjen, če bo vseboval potrdilo Geodetske uprave Republike Slovenije (v nadaljnjem besedilu: GURS), da je upravičenec sporočil podatke o lokaciji in trasi, vrsti in trenutni uporabi novozgrajenih komunikacijskih omrežij ter pripadajoče infrastrukture v skladu s 15. členom ZEKom-2. Pooblaščenega nadzornika gradnje bo izbrani prijavitelj določil v okviru projekta.
10. Shema in skladnost s pravili državnih pomoči: dodelitev pomoči na podlagi tega javnega razpisa bo izvedena v skladu z veljavno shemo državne pomoči »Gradnja visokozmogljivih mobilnih omrežij 5G – Sklad za obnovo« (št. priglasitve: BE05-2632586-2024).
11. Delež sofinanciranja
Delež javnega sofinanciranja upravičenih stroškov operacije znaša manj kot 70 %. Preostanek mora zagotoviti upravičenec iz zasebnih sredstev.
Projekt mora imeti zaključeno finančno konstrukcijo oziroma upoštevaje virov po tem razpisu zagotovljene vse ostale vire za izvedbo celotne operacije.
12. Upravičeni stroški in način njihovega dokazovanja
V okviru tega javnega razpisa je upravičena naložba za gradnjo infrastrukture odprte bazne postaje za mobilna omrežja 5G na prizadetih območjih po poplavah avgusta 2023, ki bo omogočila pokrivanje z mobilnim signalom 5G z običajno razpoložljivo hitrostjo prenosa podatkov najmanj 100 Mb/s v smeri proti končnemu uporabniku zunaj stavb tam, kjer območja niso pokrita s takim signalom oziroma ne obstaja tržni interes zainteresiranih investitorjev za gradnjo tovrstne infrastrukture oziroma baznih postaj z zasebnimi sredstvi v naslednjih treh letih, ki bi ta področja pokrivale s tovrstnim signalom. Pri tem infrastruktura odprte bazne postaje za potrebe tega javnega razpisa pomeni del infrastrukture omrežij elektronskih komunikacij, ki je namenjen postavitvi radijskega dela baznih postaj in ki je dostopen pod enakimi pogoji vsem zainteresiranim izvajalcem mobilnih komunikacijskih storitev za pokrivanje z mobilnim signalom 5G, ki bo omogočal običajno razpoložljivo hitrost prenosa podatkov najmanj 100 Mb/s v smeri proti končnemu uporabniku zunaj stavb.
Upravičeni so stroški za postavitev/gradnjo potrebnih objektov, njihove zaščite, stolpov, stebrov, drogov, antenskih nosilcev, električnega napajanja s pripadajočimi rezervnimi napajanji, kot so akumulatorsko napajanje in agregati, potrebne klimatizacije, urejen dostop za ustrezna transportna vozila ter druge pripadajoče naprave in opremo, ki so potrebni za nemoteno delovanje, upravljanje in vzdrževanje mobilnih omrežij 5G ter dostop do obstoječega optičnega omrežja ter po potrebi tudi brezžični linki za povezave do hrbteničnih omrežij in druge potrebne infrastrukture za nemoteno delovanje radijskega dela mobilnega omrežja 5G.
Upravičeni stroški vključujejo tudi najem ali nakup posameznih delov oziroma celotne obstoječe infrastrukture ali omrežij. Najem in neodtujljiva, neomejena in nepreklicna pravice do uporabe (IRU) posameznih delov oziroma celotne obstoječe infrastrukture ali omrežij za obdobje največ 20 let bo upravičenec dokazal s predložitvijo sklenjene pogodbe, računa in dokazila o plačilu takšnega stroška.
Upravičeni stroški, ki se financirajo na podlagi tega javnega razpisa delimo na naslednji kategoriji:
– nakup in gradnja infrastrukture: so investicije v opredmetena osnovna sredstva, kot so npr.: objekti, omrežja, napeljave, infrastruktura ipd., stroški uporabe opredmetenih osnovnih sredstev – stroški amortizacije ter stroški v zvezi z delom, ki so neposredno povezani s predmetom javnega razpisa. Ti stroški so lahko namestitev pasivne širokopasovne infrastrukture (hrbtenične in dostopovne), kot je npr. strošek gradnje objektov, polaganja kablov, vgradnje opreme, najema obstoječe infrastrukture drugega operaterja in gradbenih del v povezavi s širokopasovno infrastrukturo (hrbtenične in dostopovne), kot je npr. strošek za pripravo in izvedbo gradbenih, obrtniških in instalacijskih del, strošek projektne in investicijske dokumentacije, nadomestilo za stvarno služnost, strošek gradbenega nadzora. V upravičene stroške nakupa in gradnje širokopasovne infrastrukture je vključen tudi najem ali nakup posameznih delov oziroma celotne obstoječe infrastrukture ali omrežij. Najem in neodtujljiva, neomejena in nepreklicna pravice do uporabe (IRU) posameznih delov oziroma celotne obstoječe infrastrukture ali omrežij za obdobje največ 20 let je upravičen strošek in ga bo izbrani prijavitelj dokazal s predložitvijo sklenjene pogodbe, računa in dokazila o plačilu takšnega stroška.
– nakup opreme in drugih opredmetenih/neopredmetenih osnovnih sredstev: so investicije v naprave, opremo, strojno opremo in neopredmetena sredstva, kot so npr.: programska oprema, licence in so namenjene za namestitev širokopasovne infrastrukture ter dostopovnih omrežij naslednje generacije, kot je npr. strošek nakupa in vgradnje opreme za dostopovna omrežja, strošek aktivne opreme, ki je potrebna za nemoteno delovanje radijskih delov baznih postaj …).
Dodeljena sredstva za stroške gradnje se bodo izplačevala po gradbenih situacijah. Ob tem je treba pri gradnji voditi najmanj gradbeno knjigo in knjigo obračunskih izmer za izvedbo gradbenih del.
Stroški projektiranja, dokumentacije in nadzora, ki so uvrščeni v kategorijo nakup in gradnja infrastrukture, v skupni višini ne smejo presegati 10 % celotne vrednosti projekta.
Izbrani prijavitelj lahko pouporablja svojo obstoječo infrastrukturo in aktivno opremo, ki jo že ima vgrajeno v omrežje, vendar za njuno uporabo ne bo upravičen do sofinanciranja, če so vsi stroški, nastali pred dnevom prejete vloge na ta javni razpis.
Občine lahko dajejo na voljo svoje prostore za potrebe izgradnje funkcijskih lokacij. Pogoji, pod katerimi se le ti dajejo na voljo, so predmet dogovora med upravičencem in posamezno občino glede na njene ustaljene poslovne modele in pogoje. Najem teh prostorov je lahko upravičen strošek.
Stroški nadomestil za stvarno služnosti so upravičen strošek največ do višine 10 % skupnih upravičenih stroškov projekta.
Stroški, ki niso opredeljeni kot upravičeni, so neupravičeni stroški projekta in niso upravičeni do sofinanciranja.
Upravičeni stroški se ne smejo dvojno financirati iz različnih virov javnih sredstev.
DDV ni upravičen strošek.
Vse stroške, povezane s pripravo in predložitvijo vloge, nosi prijavitelj. Stroški priprave vloge niso predmet sofinanciranja tako za izbrane kot neizbrane prijavitelje na ta javni razpis.
Dvojno uveljavljanje stroškov in izdatkov, ki so že bili povrnjeni iz katerega koli drugega vira, ni dovoljeno. V tem primeru lahko ministrstvo pogodbo odpove in zahteva vračilo že izplačanega zneska sofinanciranja z zakonitimi zamudnimi obrestmi od dneva nakazila sredstev iz proračuna Republike Slovenije na transakcijski račun upravičenca do dneva vračila sredstev v proračun Republike Slovenije. Če je dvojno oziroma neupravičeno uveljavljanje stroškov in izdatkov namerno, se bo obravnavalo kot sum goljufije. V vsakem primeru je treba ustrezni znesek sofinanciranja vrniti. Upravičencu se bo vrednost sofinanciranja po pogodbi znižala za vrednost vrnjenih zneskov iz naslova dvojnega uveljavljanja stroškov in izdatkov oziroma iz naslova preseganja maksimalne dovoljene stopnje sofinanciranja operacije.
Upravičenec mora na ločenem stroškovnem mestu evidentirati vse poslovne dogodke, ki se nanašajo na operacijo.
Če ministrstvo ugotovi, da je bil predmet javnega razpisa zaključen že pred izdajo sklepa o izboru, ministrstvo odstopi od pogodbe, upravičenec pa mora vrniti prejeta sredstva po tej pogodbi v roku 30 (tridesetih) dni od prejema pisnega poziva ministrstva, povečana za zakonite zamudne obresti od dneva nakazila na TRR upravičenca do dneva nakazila v dobro proračuna Republike Slovenije.
Vsi upravičenci po tem javnem razpisu so v fazi izvajanja operacije dolžni spoštovati temeljna načela javnega naročanja, kot je to navedeno v poglavju 1.5.1 Splošni pogoji za kandidiranje.
V postopku potrjevanja izdatkov za vse vrste upravičenih stroškov se preverja skladnost z nacionalno zakonodajo in s pravnimi podlagami skupnosti, ki urejajo področje javnega financiranja.
Z namenom spoštovanja temeljnih načel javnega naročanja ter njihove smiselne uporabe izvede upravičenec povpraševanje na trgu na naslednji način:
– postopek povpraševanja izvede in pridobi vsaj tri ponudbe, v primeru manjšega števila pridobljenih ponudb se predloži utemeljitev z dokazili ali
– postopek povpraševanja izvede po svojih internih navodilih, kadar so le-ta enaka ali strožja od določb glede izbora zunanjih izvajalcev tega javnega razpisa.
Za zagotovitev ustrezne revizijske sledi iz prejšnjega odstavka upravičenec izkaže postopek preverjanja cen na trgu oziroma pojasni izveden postopek povpraševanja na trgu in pri tem uporabi obrazec Priloga 4 Zaznamek o preverjanju cen na trgu.
Upravičenec mora pri izbiri (pod)izvajalca/dobavitelja upoštevati, da so pozvani ponudniki usposobljeni/registrirani za izvedbo/dobavo predmeta naročila.
Opis izvedenega postopka: navesti je potrebno, na kakšen način je bilo povpraševanje izvedeno (npr. objava javnega razpisa, kopija fizične ali elektronske pošte itd.) ter pri katerih ustreznih ponudnikih se je povpraševanje izvedlo, kateri ponudnik je ponudbo dejansko oddal, izbrana ponudna ter pojasnilo izbora. Potrebno je navesti tudi kriterije za izbor. V primeru poizvedbe pri manj kot treh ponudnikih je nujna utemeljitev kriterijev za izbor.
Dokazila, da je strošek oziroma izdatek nastal, sta račun ali eRačun in dokazilo o plačilu upravičenca, ki dokazuje, da je bil račun dejansko plačan (izpis transakcijskega računa upravičenca, potrdilo o bremenitvi računa ali druga knjigovodska listina enakovredne narave).
Za namen preverjanj upravičenci z oddajo ZZI-ja predložijo tudi obvezna dokazila po posameznih kategorijah in vrstah stroškov:
– vmesno ali končno poročilo o izvajanju operacije;
– dokazila o upravičenosti stroška: dokazila so verodostojne listine (pogodbe, dokazila o opravljenem postopku in druge podlage za izstavitev računa);
– dokazila o opravljeni storitvi ali dobavi blaga;
– računi ali eRačuni oziroma verodostojne knjigovodske listine;
– dokazilo o plačilu (izjeme so določene v vsakokratnem veljavnem ZIPRS) in
– poročilo o doseganju rezultatov.
Ne glede na prejšnji odstavek v primeru, kjer posamezno naročilo ne presega vrednosti 40.000 EUR, upravičenci predložijo naslednje:
– račun ali eRačun oziroma verodostojne knjigovodske listine;
– dokazilo o plačilu (izjeme so določene v vsakokrat veljavnem ZIPRS).
Preostala zahtevana dokazila mora upravičenec predložiti na poziv ministrstva oziroma v primeru izvedbe preverjanj na kraju samem.
Za namene preverjanj se lahko zahtevajo tudi dodatna dokazila o upravičenosti stroškov, ki jih uveljavlja upravičenec.
Dokazovanje upravičenosti stroškov oziroma izdatkov je dolžnost upravičenca.
V skladu s pravili zakonodaje s področja javnih financ se sofinanciranje operacij izvaja po principu povračil za nastale in plačane stroške. Izbrani prijavitelj bo na ministrstvo preko Uprave za javna plačila (v nadaljevanju: UJP) izdal t. i. Zahtevek, ki bo nadomestil e-Račun. V okviru Zahtevka bo lahko po vrstah upravičenih stroškov vnesel več zneskov npr. znesek računa za gradnje (po situaciji), znesek računa nakupa opreme itd. Vsi zneski bodo morali biti brez DDV. Zraven bodo priložili izpolnjen ZZI z obveznima prilogama: seznamom stroškov in vsebinskim poročilom. Ostale priloge (npr. gradbena situacija, plačilo računa zunanjemu izvajalcu, prevzemni zapisnik itd.) bodo poslali na gp.mdp@gov.si s sklicem na pogodbo in zahtevek na katerega se bodo nanašale priloge in bodo zavedene v informacijski sistem ministrstva. Vzorec ZZI-ja je v Prilogi 5. Skrbnik pogodbe na strani ministrstva bo po prejemu Zahtevka in vseh prilog izvedel administrativno preverjanje.
eRačun je račun, ki ga izdajatelj računa za dobavljeno blago ali izvedene storitve izda svojemu dolžniku oziroma prejemniku računa v elektronski obliki in enakovredno zamenjuje račun v papirni obliki. Izdajatelj eRačuna mora biti vpisan v register izdajateljev eRačunov.
Po zaključku operacije bodo upravičenci v celoti lastniki infrastrukture odprtih baznih postaj, ki je sofinancirana po tem javnem razpisu.
13. Predplačila: predplačila niso možna.
14. Zahteve glede spremljanja neto prihodkov operacije
Izbrani prijavitelj bo moral dokumentirano spremljati in prikazovati neto prihodke operacije. Prihodke je potrebno evidentirati in spremljati na posebnem stroškovnem mestu ali po ustrezni računovodski kodi, zaradi česar bo možen ločen izpis iz računovodskih evidenc.
Operacija je predmet državnih pomoči, zato se prihodki spremljajo v skladu s priglašeno Shemo državne pomoči »Gradnja visokozmogljivih mobilnih omrežij 5G – Sklad za obnovo« (št. priglasitve: BE05-2632586-2024). Izbrani prijavitelj mora v skladu s prvim odstavkom 15. člena Uredbe o uporabi javnih sredstev za gradnjo visokozmogljivih fiksnih širokopasovnih omrežij oziroma nadgradnjo obstoječih fiksnih omrežij, gradnjo mobilnih omrežij 5G, gradnjo zalednih omrežij in za spodbujanje povezljivosti v času trajanja pogodbe o sofinanciranju operacije voditi ločeno računovodstvo za sredstva, ki se uporabljajo za gradnjo sofinancirane infrastrukture odprte bazne postaje in do 31. marca tekočega leta ministrstvu poročati o izvajanju operacije za preteklo leto. Iz poročila morajo biti razvidni stroški in prihodki od zgrajene infrastrukture odprte bazne postaje na letni ravni ter doseženi dobiček. Ministrstvo na podlagi poročila in dokazil izbranega prijavitelja, ki je infrastrukturo odprte bazne postaje zgradili s pomočjo sofinanciranja z javnimi sredstvi, preveri, ali so bili prihodki od zgrajenega omrežja na letni ravni višji od stroškov in je bil na zgrajeni infrastrukturi odprtih bazne postaje v tem obdobju ustvarjen dobiček. Celotni dobiček, ki je ustvarjen na sofinancirani infrastrukturi odprte bazne postaje v višini, ki je nad povprečnim dobičkom, je dodatni čisti dobiček. Povprečni dobiček se izračuna na podlagi povprečne stopnje donosnosti naložb v telekomunikacijski panogi po podatkih AKOS-a. Če so bili prihodki od zgrajene infrastrukture odprte bazne postaje na letni ravni nižji od stroškov, razliko pokrije izbrani prijavitelj z zasebnimi sredstvi.
15. Zahteve glede informiranja in obveščanja javnosti, ki jim morajo zadostiti izbrani prijavitelji
Prijavitelj bo moral na svoji uradni spletni strani in na svojih straneh družbenih medijev zagotovil kratek opis operacije vključno z njenimi cilji in rezultati, pri čemer se izpostavi finančna podpora Republike Slovenije ter na sofinanciranih objektih namestil trajne table ali panoje, ki jasno označujejo operacijo in njeno sofinanciranje s strani Republike Slovenije. Kot dokazilo bo lahko ob vloženih ZZI-jih priložil npr. slike spletnih strani, tabel, panojev, kopije javno objavljenih člankov, letakov, obvestil za občane, s katerimi je v času operacije obveščal javnost, lahko pa priloži tudi fotografije pravilno označenih gradbišč z gradbenimi tablami, ki vsebujejo potrebne informacije o sofinancirani operaciji, njen kratek opis vključno z njenimi cilji in rezultati, pri čemer je izpostavljena finančna podpora Republike Slovenije.
Podpis pogodbe s strani izbranega prijavitelja pomeni tudi privolitev v vključitev na seznam operacij, ki bo javno objavljen.
16. Morebitno dopolnilno financiranje: dopolnilno financiranje z drugimi javnimi viri ni predvideno.
17. Zahteve glede revizijske sledi in hramba dokumentacije operacije: izbrani prijavitelj je odgovoren za zagotavljanje ustrezne revizijske sledi ter za hrambe vse dokumentacije operacije za obdobje petih let od 31. decembra leta, v katerem je prejel zadnje izplačilo na podlagi tega javnega razpisa.
18. Zahteve glede dostopnosti dokumentacije o operaciji nadzornim organom: izbrani prijavitelj bo moral nadzornim organom omogočiti tehnični, administrativni in finančni nadzor nad izvajanjem operacije. Preverjanja na kraju samem (v nadaljevanju: PKS) se izvedejo z namenom, da lahko nadzorni organi preverijo dejstva, ki jih ni mogoče preveriti na podlagi prejete dokumentacije, ali v primeru ugotovljenih tveganj pri izvajanju ukrepov iz načrta. Preveri se: ali se operacija dejansko izvaja, ali so bila plačila pravilno in dejansko izvedena, ali so bili spoštovani vsi predpisani postopki, ali so bili izvedeni potrebni pregledi itd. PKS se izvede, ko je operacija že v izvajanju in je že viden njen fizični in finančni napredek ali pa po njenem zaključku.
19. Zagotavljanje enakih možnosti in trajnostnega razvoja
Izbrani prijavitelj bo moral zagotoviti spodbujanje enakih možnosti moških in žensk ter preprečiti vsakršno diskriminacijo, zlasti v zvezi z dostopnostjo za invalide, med osebami, ki so oziroma bodo vključene v izvajanje aktivnosti v okviru tega javnega razpisa, v skladu z zakonodajo, ki pokriva področje zagotavljanja enakih možnosti.
Izbrani prijavitelj bo moral cilje operacije uresničevati v skladu z načelom trajnostnega razvoja in ob spodbujanju cilja Evropske Unije o ohranjanju, varovanju in izboljšanju kakovosti okolja, ob upoštevanju načela onesnaževalec plača.
20. Varovanje poslovnih skrivnosti
Vsi podatki iz vlog, ki jih komisija za izvedbo postopka javnega razpisa (v nadaljevanju: komisija), ki jo imenuje predstojnik ministrstva ali od njega pooblaščena oseba, odpre, so informacije javnega značaja, razen tistih, ki jih prijavitelji posebej označijo, in sicer kot poslovne skrivnosti, osebni podatki in druge izjeme iz 6. člena Zakona o dostopu do informacij javnega značaja (Uradni list RS, št. 51/06 – uradno prečiščeno besedilo, 117/06 – ZDavP-2, 23/14, 50/14, 19/15 – odl. US, 102/15, 7/18 in 141/22; v nadaljnjem besedilu: ZDIJZ), ki niso javno dostopne in tako ne smejo biti razkrite oziroma dostopne javnosti. Poslovna skrivnost se lahko nanaša na posamezen podatek ali na del vloge, ne more pa se nanašati na celotno vlogo. Prijavitelji morajo pojasniti, zakaj posamezen podatek ne sme biti dostopen javnosti kot informacija javnega značaja. Če prijavitelj ne označi in razloži takšnih podatkov v vlogi, bo ministrstvo lahko domnevalo, da vloga po stališču prijavitelja ne vsebuje takšnih podatkov, ki ne smejo biti razkrite oziroma dostopne javnosti. Vsi elementi, ki so potrebni za ocenjevanje in dokazovanje ustreznosti vloge so javni podatki in se jih ne more označiti kot poslovno skrivnost.
Podatki o sofinanciranih operacijah, za katere je tako določeno s predpisi ali, ki so javnega značaja, se bodo objavili. Objavljen bo seznam izbranih prijaviteljev, ki bo obsegal navedbo prijavitelja, naziv operacije, programsko območje prijavitelja in znesek javnih virov sofinanciranja operacije. Objave podatkov o operaciji in prijaviteljih, upravičenih do sredstev, bodo izvedene v skladu z ZDIJZ.
Po javnem odpiranju vlog noben podatek iz prejetih vlog, podatek o preverjanju, dopolnjevanju, oceni in primerjavi vlog ali odločitvah v zvezi z izborom izvajalca ne bo dostopen javnosti ali drugim prijaviteljem, dokler ministrstvo ne sprejme sklepa o izboru.
Prijavitelj naj obrazce in izjave, za katere meni, da sodijo pod zaupne ali poslovno skrivnost, označi s klavzulo »Zaupno ali Poslovna skrivnost« in parafo osebe, ki je podpisnik vloge.
Če naj bo zaupen samo določen podatek v obrazcu ali dokumentu, mora biti zaupni del podčrtan z rdečo barvo, v isti vrstici ob desnem robu pa oznaka »Zaupno ali Poslovna skrivnost« in parafa osebe, ki je podpisnik vloge.
Ob tem ministrstvo opozarja potencialne prijavitelje, da pod zaupne podatke ali poslovno skrivnost ne sodijo podatki, ki so predmet ocenjevanja vlog oziroma na podlagi predpisov ne sodijo pod zaupne ali poslovno skrivnost. Dokumenti, ki jih bo prijavitelj upravičeno označil kot zaupne ali kot poslovno skrivnost, bodo uporabljeni samo za namene javnega razpisa in ne bodo dostopni nikomur izven kroga oseb, ki bodo vključene v razpisni postopek. Ministrstvo bo v celoti odgovorno za varovanje zaupnosti tako dobljenih podatkov. Ti podatki ne bodo nikjer javno objavljeni. Ministrstvo bo obravnavalo kot zaupne ali kot poslovno skrivnost tiste podatke v vlogi, ki bodo označeni s klavzulo »Zaupno ali Poslovno skrivnost« in ne odgovarja za zaupnost podatkov, ki ne bodo označeni, kot je navedeno, razen podatkov, ki v skladu z veljavnimi predpisi sodijo pod zaupne podatke, poslovno skrivnost ali varstvo osebnih podatkov.
Če bodo kot zaupno ali kot poslovna skrivnost označeni podatki, ki ne ustrezajo navedenim pogojem, bo ministrstvo prijavitelja pozvalo, da oznako zaupnosti ali poslovna skrivnost umakne. Prijavitelj to stori tako, da njegov zastopnik nad oznako napiše »Preklic«, vpiše datum in se podpiše. Če prijavitelj v roku, ki ga določi naročnik ne prekliče zaupnosti, ministrstvo vlogo zavrne.
21. Varovanje osebnih podatkov
21.1. Osebni podatki, ki se obdelujejo z namenom izvedbe javnega razpisa
Varovanje osebnih podatkov bo zagotovljeno v skladu z veljavno zakonodajo, torej Splošno uredbo o varstvu podatkov (Uredba (EU) 2016/679 Evropskega parlamenta in Sveta z dne 27. aprila 2016 o varstvu posameznikov pri obdelavi osebnih podatkov in o prostem pretoku takih podatkov ter o razveljavitvi Direktive 95/46/ES (Splošna uredba o varstvu podatkov) (Besedilo velja za EGP)) in ZVOP-2.
Upravljavec zbirke osebnih podatkov na Ministrstvu za digitalno preobrazbo:
– elektronski naslov: gp.mdp@gov.si;
– upravljavec zbirke osebnih podatkov bo skrbnik pogodbe na strani ministrstva.
Kontakt pooblaščene osebe za varstvo osebnih podatkov na Ministrstvu za digitalno preobrazbo:
– elektronski naslov: dpo.mdp@gov.si;
– pooblaščena oseba: Jan Jakil.
Pravna podlaga za zbiranje in obdelavo osebnih podatkov:
– Prijavitelji zbirajo in obdelujejo osebne podatke iz tega pogodbenega razmerja, ki je pravna podlaga za zbiranje in obdelavo osebnih podatkov lastnikov nepremičnin v skladu s členom b/1/6/ Splošne uredbe o varstvu podatkov.
Namen obdelave osebnih podatkov:
– izvedba javnega razpisa,
– vodenje podatkov, evidenc, analiz in drugih zbirk za ministrstvo in nadzorne organe, in sicer o izidu javnega razpisa in o izvajanju pogodbe o sofinanciranju,
– izdelava študij in vrednotenj, sodelovanje in priprava oziroma izdelava vlog v postopkih pred pristojnimi organi (postopki pred sodnimi, preiskovalnimi ali drugimi pristojnimi organi),
– učinkovito delovanje informacijskih sistemov ali pripomočkov, ki jih uporablja ali jih je dolžno uporabljati ministrstvo.
Osebni podatki se pridobijo neposredno od prijavitelja, ki jih mora zagotoviti, če želi sodelovati v postopku javnega razpisa.
Uporabniki ali kategorije uporabnikov osebnih podatkov:
Ministrstvo za digitalno preobrazbo osebnih podatkov ne bo posredovalo tretjim osebam, razen drugim državnim organom zaradi izpolnitve obveznosti in ostalim pristojnim nadzornim organom.
Ministrstvo za digitalno preobrazbo osebnih podatkov ne bo prenašalo v tretje države ali v mednarodno organizacijo.
Obdobje hrambe osebnih podatkov ali, kadar to ni mogoče, merila, ki se uporabijo za določitev tega obdobja:
Osebne podatke hranimo v skladu z Zakonom o varstvu dokumentarnega in arhivskega gradiva ter arhivih (Uradni list RS, št. 30/06 in 51/14).
Informacije o obstoju pravic posameznika:
Posameznik ima pravico, da od upravljavca zahteva:
– dostop do osebnih podatkov, v skladu s 15. členom Splošne uredbe o varstvu podatkov,
– popravek osebnih podatkov, v skladu s 16. členom Splošne uredbe o varstvu podatkov,
– izbris osebnih podatkov (pravica do pozabe), kadar so izpolnjene predpostavke iz 17. člena Splošne uredbe o varstvu podatkov in
– omejitev obdelave, kadar so izpolnjene predpostavke iz 18. člena Splošne uredbe o varstvu podatkov.
Upravljavec (skrbnik zbirke osebnih podatkov) je dolžan vsakemu uporabniku, ki so mu bili osebni podatki razkriti, sporočiti vse popravke ali izbrise osebnih podatkov ali omejitve obdelave, pod pogoji 19. člena Splošne uredbe o varstvu podatkov.
Posameznik lahko svoje pravice iz te točke zahteva pri skrbniku zbirke osebnih podatkov. Če s svojo zahtevo za varstvo podatkov ni uspešen, se lahko obrne na pooblaščeno osebo za varstvo podatkov in elektronski naslov.
Informacije o obstoju avtomatiziranega sprejemanja odločitev, vključno z oblikovanjem profilov:
Ministrstvo ne izvaja avtomatiziranega odločanja na podlagi profiliranja z osebnimi podatki.
Informacija o pravici do vložitve pritožbe pri nadzornem organu:
Pritožbo lahko podate Informacijskemu pooblaščencu, Dunajska 22, 1000 Ljubljana, elektronski naslov: gp.ip@ip-rs.si, tel. 01/230-97-30, spletna stran: http://www.ip-rs.si.
21.2. Osebni podatki, ki se obdelujejo za namene sofinanciranja gradnje infrastrukture odprte bazne postaje
Varovanje osebnih podatkov bo zagotovljeno v skladu z veljavno zakonodajo, torej Splošno uredbo o varstvu podatkov in ZVOP-2
Upravljavec zbirke osebnih podatkov:
a) Izbrani prijavitelj – v delu obdelave podatkov, ki so potrebni za njegov del nalog (zbiranje podatkov o lastnikih nepremičnin, na katerih se bo gradila infrastruktura odprte bazne postaje).
b) Ministrstvo za digitalno preobrazbo, Davčna ulica 1, 1000 Ljubljana, tel. 01/555-58-00, elektronski naslov: gp.mdp@gov.si – v delu prejema zbirke podatkov o lastnikih nepremičnin, na katerih se bo gradila infrastruktura odprte bazne postaje – za namene preverjanja ustreznosti izvedbe.
Izbrani prijavitelj je upravljavec zbirke na podlagi (b) točke prvega odstavka Člena 6 Splošne uredbe o varstvu podatkov.
Kontakt pooblaščene osebe za varstvo osebnih podatkov:
a) pri izbranem prijavitelju:
– izbrani prijavitelj navede kontakt skrbnika v okviru javnega razpisa
b) na Ministrstvu za digitalno preobrazbo:
– elektronski naslov: dpo.mdp@gov.si;
– pooblaščena oseba: Jan Jakil.
Namen obdelave osebnih podatkov:
1) Izbrani prijavitelj:
– izbrani prijavitelj mora voditi seznam vseh lastnikov nepremičnin, na katerih se bo gradila infrastruktura odprte bazne postaje. Podatek je podlaga za naknadno določitev ustreznosti izvedbe gradnje in podlage za plačilo.
Pri tem prijavitelj ustvari zbirko osebnih podatkov lastnikov nepremičnin, ki se strinjajo in omogočajo služnost za gradnjo infrastrukture odprte bazne postaje na njihovih nepremičninah.
2) Ministrstvo za digitalno preobrazbo:
– Ministrstvo mora preveriti ustreznost seznama vseh lastnikov nepremičnin, na katerih se bo gradila infrastruktura odprte bazne postaje. Podatek je podlaga za naknadno določitev ustreznosti izvedbe gradnje in podlage za plačilo.
Podatki o lastnikih nepremičnin se pridobijo iz uradnih evidenc.
Uporabniki ali kategorije uporabnikov osebnih podatkov:
Izbrani prijavitelj bo evidenco lastnikov nepremičnin, na katerih se bo gradila oziroma je že zgrajena infrastruktura odprte bazne postaje, posredoval ministrstvu. Niti izbrani ponudnik, niti ministrstvo osebnih podatkov ne bosta posredovala tretjim osebam, razen drugim državnim organom zaradi izpolnitve obveznosti in ostalim pristojni nadzorni organi.
Izbrani ponudnik in ministrstvo osebnih podatkov ne bosta prenašala v tretje države ali v mednarodno organizacijo.
Obdobje hrambe osebnih podatkov ali, kadar to ni mogoče, merila, ki se uporabijo za določitev tega obdobja:
1) Izbrani prijavitelj:
– izbrani prijavitelj hrani evidenco do izvedenega plačila oziroma zaključka postopkov v zvezi z izvedbo plačil.
2) Ministrstvo za digitalno preobrazbo:
– podatke se hrani za čas veljavnosti pogodbe, po tem pa v skladu z Zakonom o varstvu dokumentarnega in arhivskega gradiva ter arhivih (Uradni list RS, št. 30/06 in 51/14).
Informacije o obstoju pravic posameznika:
Posameznik ima pravico, da od upravljavca zahteva:
1) dostop do osebnih podatkov, v skladu s 15. členom Splošne uredbe o varstvu podatkov,
2) popravek osebnih podatkov, v skladu s 16. členom Splošne uredbe o varstvu podatkov,
3) izbrisa osebnih podatkov (pravica do pozabe) ne more zahtevati pred potekom namena njihovega hranjenja in
4) omejitev obdelave, kadar so izpolnjene predpostavke iz 18. člena Splošne uredbe o varstvu podatkov.
Upravljavec (skrbnik zbirke osebnih podatkov) je dolžan vsakemu uporabniku, ki so mu bili osebni podatki razkriti, sporočiti vse popravke ali izbrise osebnih podatkov ali omejitve obdelave, pod pogoji 19. člena Splošne uredbe o varstvu podatkov.
Posameznik lahko svoje pravice iz te točke zahteva pri skrbniku zbirke osebnih podatkov. Če s svojo zahtevo za varstvo podatkov ni uspešen, se lahko obrne na pooblaščeno osebo za varstvo podatkov in elektronski naslov.
Informacije o obstoju avtomatiziranega sprejemanja odločitev, vključno z oblikovanjem profilov:
Izbrani prijavitelj ali ministrstvo ne izvajata avtomatiziranega odločanja na podlagi profiliranja z osebnimi podatki.
Informacija o pravici do vložitve pritožbe pri nadzornem organu:
Pritožbo lahko podate Informacijskemu pooblaščencu, Dunajska 22, 1000 Ljubljana, elektronski naslov: gp.ip@ip-rs.si, tel. 01/230-97-30, spletna stran: www.ip-rs.si.
22. Zahteve glede spremljanja doseganja ciljev operacije: izbrani prijavitelj bo za namen spremljanja operacije ministrstvu dolžan zagotavljati podatke o doseganju ciljev operacije.
23. Omejitve glede sprememb operacije: izbrani prijavitelj je dolžan vrniti neupravičeno prejeta sredstva skupaj z zakonitimi zamudnimi obrestmi od dneva nakazila na transakcijski račun do dneva vračila v proračun Republike Slovenije sorazmerno z obdobjem, v zvezi s katerim ustrezne zahteve niso bile izpolnjene, če v času veljavnosti pogodbe pride do prenehanja ali premestitev dejavnosti iz programskega območja, do spremembe lastništva infrastrukture odprte bazne postaje ali njenih delov, ki mu daje prednost, ali do bistvene spremembe, ki vpliva na značaj, cilje ali pogoje izvajanja, zaradi česar bi se razvrednotili njeni prvotni cilji.
24. Posledice v primeru resnih napak, nepravilnosti, goljufije ali kršitve obveznosti v postopku potrjevanja projektov ali izvajanja operacij: v kolikor se ugotovi, da izbrani prijavitelj ministrstva ni seznanil z vsemi dejstvi in podatki, ki so mu bili znani ali bi mu morali biti znani, oziroma da je posredoval neresnične, nepopolne podatke oziroma dokumente ali prikril informacije, ki bi jih bil v skladu s tem javnim razpisom dolžan razkriti, ker bi lahko vplivali na odločitev ministrstva o dodelitvi sredstev ali da je neupravičeno pridobil sredstva po tem javnem razpisu na nepošten način, na podlagi ponarejene listine ali kaznivega dejanja, bo izbrani prijavitelj dolžan vrniti neupravičeno prejeta sredstva skupaj z zakonitimi obrestmi od dneva nakazila na transakcijski račun izbranega prijavitelja do dneva vračila v proračun Republike Slovenije. Če je takšno ravnanje namerno, se bo obravnavalo kot goljufija.
25. Posledice, če se ugotovi dvojno financiranje posamezne operacije: dvojno uveljavljanje stroškov in izdatkov, ki so že bili oziroma bi lahko bili povrnjeni iz katerega koli drugega vira javnih sredstev oziroma so bila odobrena, ni dovoljeno. V kolikor se ugotovi dvojno uveljavljanje stroškov in izdatkov, bo zahtevano vračilo že izplačanega zneska sofinanciranja z zakonitimi obrestmi od dneva nakazila sredstev iz proračuna Republike Slovenije na transakcijski račun izbranega prijavitelja do dneva vračila sredstev v proračun Republike Slovenije. Če je dvojno uveljavljanje stroškov in izdatkov namerno, se bo obravnavalo kot goljufija.
26. Zagotavljanje trajnostnega razvoja in načela »ne škoduj bistveno« (DNSH)
Izbrani prijavitelj bo moral cilje operacije uresničevati v skladu z načelom trajnostnega razvoja in ob spodbujanju cilja Evropske Unije o ohranjanju, varovanju in izboljšanju kakovosti okolja, ob upoštevanju načela onesnaževalec plača in v skladu z načelom »ne škoduj bistveno« (DNSH).
Prijavitelj mora pri pripravi projekta upoštevati načelo »ne škoduj bistveno« (DNSH) (Obrazec št. 17), kar pomeni, da se ne podpirajo ali izvajajo gospodarske dejavnosti, ki bistveno škodujejo kateremu koli od okoljskih ciljev v smislu 17. člena Uredbe (EU) 2020/852 Evropskega parlamenta in Sveta z dne 18. junija 2020 o vzpostavitvi okvira za spodbujanje trajnostnih naložb ter spremembi Uredbe (EU) 2019/2088. Projekt mora biti v skladu z Uredbo 2021/241/EU in v skladu s Tehničnimi smernicami za uporabo »načela, da se ne škoduje bistveno«, ki so na voljo na spletni strani: https://eur-lex.europa.eu/legal-content/SL/TXT/?uri=CELEX:52021XC0218(01). Pri tem se upoštevata tako okoljski vpliv same dejavnosti kot okoljski vpliv proizvodov in storitev, ki jih ta dejavnost zagotavlja, v njihovem celotnem življenjskem ciklu, pri čemer se zlasti upošteva proizvodnja, uporaba in konec življenjske dobe teh proizvodov in storitev.
Šteje se, da dejavnost bistveno škoduje:
(a) blažitvi podnebnih sprememb, kadar dejavnost privede do znatnih emisij toplogrednih plinov;
(b) prilagajanju podnebnim spremembam, kadar dejavnost privede do povečanega škodljivega vpliva na sedanje podnebje in pričakovano prihodnje podnebje, na dejavnost samo ali na ljudi, naravo ali sredstva;
(c) trajnostni uporabi in varstvu vodnih in morskih virov, kadar dejavnost škoduje:
(i) dobremu stanju ali dobremu ekološkem potencialu vodnih teles, vključno s površinskimi in podzemnimi vodami, ali
(ii) dobremu okoljskemu stanju morskih voda;
(d) krožnemu gospodarstvu, vključno s preprečevanjem odpadkov in recikliranjem, kadar:
(i) dejavnost privede do znatne neučinkovitosti pri uporabi materialov ali neposredne ali posredne rabe naravnih virov, kot so neobnovljivi viri energije, surovine, voda in zemlja, v eni ali več fazah življenjskega cikla proizvodov, vključno z vidika trajanja, popravljivosti, nadgradljivosti, možnosti ponovne uporabe ali recikliranja proizvodov;
(ii) dejavnost privede do znatnega povečanja nastajanja, sežiganja ali odlaganja odpadkov, razen sežiganja nevarnih odpadkov, ki jih ni mogoče reciklirati, ali
(iii) lahko dolgoročno odlaganje odpadkov bistveno in dolgoročno škoduje okolju;
(e) preprečevanju in nadzorovanju onesnaževanja, kadar dejavnost privede do znatnega povečanja emisij onesnaževal v zrak, vodo ali zemljo v primerjavi s stanjem pred začetkom izvajanja te dejavnosti;
(f) varstvu in obnovi biotske raznovrstnosti in ekosistemov, kadar je dejavnost:
(i) znatno škodljiva za dobro stanje in odpornost ekosistemov ali
(ii) škodljiva za stanje ohranjenosti habitatov in vrst, vključno s tistimi, ki so v interesu Unije.
Prijavitelj bo moral utemeljiti upoštevanje načela »ne škoduj bistveno« v vlogi na javni razpis in o tem poročati tekom izvajanja operacije.
27. Pogoji za spremembo javnega razpisa: ministrstvo si pridržuje pravico, da lahko javni razpis spremeni do 5 dni pred rokom za oddajo vlog za prvo odpiranje oziroma lahko kadarkoli do izdaje sklepov o (ne)izboru javni razpis prekliče, oboje z objavo v Uradnem listu RS.
28. Obdobje sprejemanja in način predložitve vloge na javni razpis
Za predložitev vloge na javni razpis sta predvideni dve (2) odpiranji.
Prijavitelji lahko predložijo svoje vloge za dodelitev sredstev od dneva objave tega javnega razpisa ter najkasneje do 15. 5. 2025 do 12. ure oziroma do porabe sredstev. Datumi posameznih odpiranj vlog za dodelitev sredstev so podani v točki 1.30 razpisne dokumentacije. Postopki in način izbora so podani v točki 1.32 razpisne dokumentacije.
Vloga se lahko odda v elektronski ali fizični obliki.
V elektronski obliki:
Prijavitelj lahko vlogo odda v elektronski obliki na elektronski naslov: obp.mdp@gov.si. V tem primeru mora biti vloga podpisana z naprednim elektronskim podpisom, ki temelji na kvalificiranem potrdilu za elektronske podpise, zakonitega zastopnika ali pooblaščene osebe prijavitelja. V polje ‘zadeva’ elektronskega sporočila se vpiše: Vloga na JR OBP. Vloga, ki ne bo pravilno označena (tj. v polju 'zadeva' v glavi elektronske pošte ne bo pravilno vpisano zgoraj navedeno besedilo), bo s sklepom zavržena.
V fizični obliki:
Vlogo v fizični obliki prijavitelj odda osebno ali pošlje po pošti kot priporočeno poštno pošiljko na naslov: Ministrstvo za digitalno preobrazbo, Davčna ulica 1, 1000 Ljubljana. Vsaka vloga mora biti predložena v svoji zaprti ovojnici (skupaj z e-nosilcem podatkov), na njej pa nalepljen izpolnjen Obrazec št. 20: Vzorec pravilno opremljene ovojnice ali pa mora ta ovojnica vsebovati označbo: Ne odpiraj! Vloga na JR OBP. Vloga, ki ne bo pravilno označena, bo s sklepom zavržena.
Vsi stroški prijave na javni razpis bremenijo prijavitelja. Stroški priprave vloge niso predmet sofinanciranja tako za izbrane kot neizbrane prijavitelje na ta javni razpis.
29. Roka za oddajo in datuma odpiranja vlog
Kot pravočasne bodo upoštevane vloge, ki bodo ne glede na način dostave prispele v glavno pisarno ministrstva ali na elektronski naslov obp.mdp@gov.si najkasneje do 15. 5. 2025 do 12. ure.
Ministrstvo bo na vsakokratnem odpiranju vlog odprlo tiste vloge, ki bodo ne glede na način dostave prispele v glavno pisarno ministrstva ali na elektronski naslov obp.mdp@gov.si najkasneje do 12. ure, na dan tega odpiranja.
Vloge, ki bodo prispele po tem roku, bodo uvrščene na naslednje odpiranje. Vse vloge, ki bodo prispele po roku za zadnje odpiranje, to je po 15. 5. 2025 po 12. uri, bodo s sklepom zavržene in neodprte vrnjene prijavitelju. Prav tako bodo s sklepom zavržene in neodprte vrnjene prijavitelju tudi tiste vloge za naslednje odpiranje, če bo ministrstvo v postopkih, ki bodo potekali po prejšnjih odpiranjih, ugotovilo, da so že porabljena vsa razpoložljiva sredstva iz poglavja 1.9. okvirna višina sredstev, ki so na razpolago za javni razpis razpisne dokumentacije.
Roka za oddajo vlog
Roka za oddajo vlog za posamezni odpiranji vlog za dodelitev sredstev so naslednji:
– za 1. odpiranje najkasneje do 17. 3. 2025 do 12. ure in
– za 2. odpiranje najkasneje do 15. 5. 2025 do 12. ure.
Odpiranje vlog
Datuma posameznih odpiranj vlog za dodelitev sredstev sta naslednja:
– 1. odpiranje bo 17. 3. 2025 ob 14. uri in
– 2. odpiranje bo 15. 5. 2025 ob 14. uri.
Odpiranje vlog bo javno in ga bo komisija izvedla v prostorih ministrstva.
30. Preverjanje formalne popolnosti vlog in izpolnjevanja pogojev za kandidiranje
Na odpiranju bo komisija preverila pravočasnost, pravilno označenost in formalno popolnost vseh prispelih vlog.
Vloge, ki ne bodo pravočasne, bodo s sklepom zavržene.
Vloge, ki ne bodo pravilno označene, kot je to določeno v poglavju 1.29. Obdobje sprejemanja in način predložitve vloge na javni razpis, bodo s sklepom zavržene. Nepravilno označene in prepozne vloge v fizični obliki bodo neodprte vrnjene pošiljatelju. Če z ovojnice ne bo razviden pošiljatelj, se vloga odpre in vrne pošiljatelju.
Variantne vloge niso dopuščene. Če bo prijavitelj na istem roku odpiranja predložil več kot eno vlogo za isto lokacijo odprte bazne postaje, bodo vse te vloge s sklepom zavrnjene.
Vse pravilno označene in do roka, določenega za posamezno odpiranje, prispele vloge bo odprla in pregledala komisija, ki jo imenuje predstojnik ministrstva ali od njega pooblaščena oseba. Ministrstvo bo na svoji spletni strani sproti obveščalo, za katere lokacije je že prejelo vloge, za katere je že izdalo sklepe o (ne)izboru ter zanje podpisalo pogodbe in koliko je trenutno še razpoložljivih sredstev.
Komisija bo v roku 8 dni od vsakokratnega odpiranja vlog pisno pozvala k dopolnitvi tiste prijavitelje, katerih vloge bodo formalno nepopolne in je njihova dopolnitev dopustna.
Poziv na dopolnitev vloge bo prijavitelju posredovan izključno po elektronski pošti na kontaktni elektronski naslov prijavitelja, naveden v prijavnem obrazcu.
Prijavitelj v dopolnitvi vloge ne sme spreminjati:
– višine zaprošenih sredstev,
– tistega dela vloge, ki se veže na bistvene elemente investicijske in tehnične specifikacije predmeta vloge,
– tistih elementov vloge, ki vplivajo ali bi lahko vplivali na drugačno razvrstitev prijaviteljeve vloge glede na preostale vloge v postopku ocenjevanja.
Če prijavitelj v dopolnitvi vloge spreminja zgoraj navedene dele vloge, se upoštevajo navedbe iz prvotne vloge.
Rok za dopolnitev vloge, ki ne sme biti daljši od petnajst (15) koledarskih dni določi komisija. Vloge prijaviteljev, ki so bili pozvani k dopolnitvi in se na poziv niso pravočasno odzvali ali vloge niso dopolnili z vsemi obveznimi sestavinami skladno s pozivom in predmetnim razpisom, bodo s sklepom zavržene. Prijaviteljev, ki vloge niso dopolnili skladno s pozivom za dopolnitev, se k dopolnitvi ne poziva ponovno.
Komisija lahko od prijaviteljev zahteva tudi dodatna pojasnila oziroma obrazložitve o vsebini vloge. Če takšna zahtevana pojasnila oziroma obrazložitve o vsebini vloge ne bodo posredovana v roku, ki ga določi komisija in ki ne sme biti daljši od petnajst (15) koledarskih dni, in na način, ki bo določen v pozivu, bo razpisna komisija upoštevala podatke iz vloge.
Vloga bo brez poziva na dopolnitev zavrnjena, če:
– je v delih, ki ne smejo biti predmet dopolnjevanja, neskladna z javnim razpisom,
– če po dopustni dopolnitvi še vedno ne izpolnjuje pogojev za kandidiranje.
Ministrstvo bo za potrebe tega javnega razpisa upoštevalo podatke iz vloge ter pridobilo dokazila glede izpolnjevanja pogojev tudi iz uradnih evidenc.
V primeru dvoma glede izpolnjevanja pogojev prijavitelja lahko ministrstvo zahteva dodatna pojasnila ali dokazila. V primeru, da prijavitelj ne izpolnjuje pogojev, se vloga izključi iz nadaljnje obravnave in se jo zavrže.
31. Postopek in način izbora projektov
Komisija bo v postopek ugotavljanja ustreznosti vlog glede na pogoje in zahteve za projekt uvrstila le formalno popolne vloge.
Vsako formalno popolno vlogo bo komisija natančno pregledala in ugotovila, ali v celoti zadošča vsem pogojem in zahtevam iz poglavja 1.5. Pogoji in zahteve za kandidiranje na javnem razpisu razpisne dokumentacije.
Na osnovi teh ugotovitev in meril bo razpisna komisija oblikovala predlog prejemnikov sredstev, ki jih bo predstojniku ministrstva predlagala za sofinanciranje.
Postopek in način izbora sta naslednja: ministrstvo izvede odpiranje in na svoji spletni strani objavi, za katere lokacije je na tem odpiranju prejelo vloge. Nato jih pregleda ter oceni in razvrsti po postopku, kot je opisano v poglavju 1.8. Merila za izbor prijaviteljev, ki izpolnjujejo pogoje in zahteve tega javnega razpisa. Če je sredstev za vloge, ki zadoščajo vsem pogojem razpisa in so izbrane po tem postopku ter na prejšnjih odpiranjih, če so ta že bila, še ni bila izbrana nobena vloga z lokacijo odprte bazne postaje, ki je bližja od 3 km, bo komisija zanje oblikovala predloge prejemnikov sredstev, ki ga bo predstojniku ministrstva predlagala za sofinanciranje. Ministrstvo bo na podlagi tega izdalo sklepe o izboru ter z izbranimi prijavitelji sklenilo pogodbe in informacijo o tem objavilo na svoji spletni strani. To hkrati pomeni, da ministrstvo za lokacije odprtih baznih postaj, ki so bližje od 3 km od lokacij odprtih baznih postaj tako izbranih vlog, ne sprejema več vlog. Če ministrstvo prejme vlogo za lokacijo odprte bazne postaje, ki je bližje od 3 km od lokacij odprtih baznih postaj že izbranih vlog po navedenem postopku, jo s sklepom zavrne. Hkrati objavi tudi, koliko je trenutno še razpoložljivih sredstev za druge lokacije odprtih baznih postaj. Na enak način obravnava vse nadaljnje vloge, ki jih prejme za naslednje odpiranje.
Če predlagana sredstva za sofinanciranje projekta v prejeti vlogi presegajo sredstva, ki so še na razpolago, ministrstvo prijavitelju te vloge ponudi, da v 30 dneh podpiše pogodbo za izvedbo celotnega projekta iz vloge na predlagani lokaciji in to v višini teh preostalih razpoložljivih sredstev. Če v tem roku podpiše pogodbo, ministrstvo to objavi na svoji spletni strani in hkrati objavi, da je razpis zaključen. Če ta prijavitelj tega ne želi, se njegova vloga zavrne s sklepom in v obravnavo vzame naslednjo vlogo po vrstnem redu glede na merila in nadaljuje enak postopek, dokler ni več razpoložljivih sredstev ali do roka zaključka tega razpisa. Takrat ministrstvo na svoji spletni strani objavi, da je razpis zaključen. Vse naslednje vloge po vrsti, ki so bile odprte na tem odpiranju, bo ministrstvo s sklepom zavrnilo.
O dodelitvi sredstev po tem javnem razpisu bo na predlog komisije s sklepom odločil predstojnik ministrstva.
Z izbranimi prijavitelji bodo na podlagi sklepa predstojnika ministrstva o izboru sklenjene pogodbe o sofinanciranju. Vzorec pogodbe je sestavni del razpisne dokumentacije (Priloga 1).
V primeru, da izbrani prijavitelj zaradi katerih koli razlogov odstopi od podpisa pogodbe o sofinanciranju oziroma se na poziv na sklenitev pogodbe ne odzove v roku osmih (8) dni od prejema poziva, se šteje, da je vlogo za pridobitev sredstev umaknil.
Ministrstvo daje prednost podpisu pogodbe v elektronski obliki z naprednim elektronskim podpisom, ki temelji na kvalificiranem potrdilu za elektronske podpise. Podredno, če izbrani prijavitelj pogodbe ne more podpisati na takšen način, se pogodbo podpiše v fizični obliki.
Ministrstvo si pridržuje pravico, da za posamezno lokacijo ali celoten javni razpis ne izbere nobene izmed prispelih vlog.
Kadar upravičenec zaradi nepredvidljivih razlogov ne more izvesti s pogodbo dogovorjenih načrtovanih poslovnih dogodkov, mora o tem nemudoma obvestiti ministrstvo.
32. Obveščanje prijaviteljev o rezultatih javnega razpisa
Ministrstvo bo prijavitelje o izidu razpisa obvestilo v 30 dneh po zaključku vsakokratnega odpiranja vlog. Rezultati razpisa predstavljajo informacije javnega značaja in bodo objavljeni na spletni strani ministrstva: https://www.gov.si/drzavni-organi/ministrstva/ministrstvo-za-digitalno-preobrazbo.
Prijavitelji, ki menijo, da izpolnjujejo pogoje in merila iz javnega razpisa in jim razpisana sredstva neupravičeno niso bila dodeljena, lahko v tridesetih (30) dneh od prejema sklepa ministrstva o (ne)izboru sprožijo upravni spor z vložitvijo tožbe na Upravno sodišče Republike Slovenije.
33. Dodatne informacije
Razpisna dokumentacija je na voljo na spletnem naslovu ministrstva: https://www.gov.si/drzavni-organi/ministrstva/ministrstvo-za-digitalno-preobrazbo.
Dodatne informacije o javnem razpisu lahko zainteresirani prijavitelji dobijo izključno po elektronski pošti na naslovu: gp.mdp@gov.si s pripisom: »Javni razpis za sofinanciranje gradnje visokozmogljivih mobilnih omrežij 5G – Sklad za obnovo (OBP)« in sklicem na št. zadeve 381-15/2024-3150.
Vprašanja je možno posredovati najpozneje do deset (10) dni pred datumom prvega odpiranja, zadnji odgovori s strani ministrstva pa bodo objavljeni najpozneje do šest (6) dni pred datumom prvega odpiranja. Če bodo vprašanja posredovana po tem datumu, odgovori nanje ne bodo posredovani spraševalcu, niti ne bodo objavljeni.
Odgovori na zastavljena vprašanja v zvezi z razpisom bodo objavljeni na spletni strani ministrstva: https://www.gov.si/drzavni-organi/ministrstva/ministrstvo-za-digitalno-preobrazbo.
Ministrstvo za digitalno preobrazbo 

Nastavitve piškotkov

Vaše trenutno stanje

Prikaži podrobnosti