A
A
A

Glasilo Uradni list RS

V zavihku Glasilo Uradni list RS najdete vse uradne predpise slovenske zakonodaje.
Od 1. aprila 2010, je edina uradna izdaja Uradnega lista RS elektronska izdaja. Dodatne informacije najdete tukaj.

Številka 41

Uradni list RS, št. 41 z dne 23. 3. 2022

UL Infotok

Uradni list RS, št. 41/2022 z dne 23. 3. 2022


786. Pravilnik o vodenju podatkov katastra nepremičnin, stran 2059.

  
Na podlagi šestega odstavka 11. člena, devetega odstavka 16. člena, osmega odstavka 17. člena, šestega odstavka 19. člena, petega odstavka 20. člena, drugega odstavka 29. člena, šestega odstavka 30. člena, šestega odstavka 31. člena, tretjega odstavka 33. člena, četrtega odstavka 45. člena, štirinajstega odstavka 59. člena, četrtega odstavka 60. člena, dvanajstega odstavka 73. člena, petega odstavka 76. člena in dvanajstega odstavka 111. člena Zakona o katastru nepremičnin (Uradni list RS, št. 54/21) minister za okolje in prostor izdaja
P R A V I L N I K 
o vodenju podatkov katastra nepremičnin 
1. SPLOŠNA DOLOČBA 
1. člen
(vsebina) 
Ta pravilnik določa:
1. način vodenja podatkov katastra nepremičnin;
2. način določitve in vpisa meje parcele s poligonom, daljicami in točkami, označitve meje parcele v naravi, strokovna pravila za koordinatni vklop ter predpisano točnost koordinat točk;
3. mejno vrednost razlike površine glede na objekt, kateremu se določa površina;
4. velikosti površine in položajno točnost točk;
5. kriterije za določitev neposredne bližine meje parcele;
6. podrobnejšo vsebino in način vodenja zapisnika mejne obravnave;
7. postavljanje mejnikov na oziroma ob državni meji, če ratificirana mednarodna pogodba prepoveduje postavljanje mejnikov;
8. vsebino, obseg in obliko podatkov predloga za izvedbo lokacijske izboljšave na širšem območju izvedbe katastrskega postopka;
9. način določanja in vodenja bonitete zemljišč;
10. pravila grafičnih presekov dejanskih rab zemljišč s parcelami;
11. način izračuna površine dejanskih rab zemljišč po parcelah, mejne vrednosti razlike površin ter način izkazovanja podatkov o dejanskih rabah zemljišč;
12. vrste sestavine dela stavbe;
13. vrste dejanskih rab dela stavbe, vrste prostorov in povezavo dejanske rabe delov stavb na klasifikacijo vrst objektov CC-SI v skladu s predpisom, ki ureja razvrščanje objektov;
14. podrobnejši način merjenja prostorov, izračuna neto tlorisne površine dela stavbe in površine prostorov ter način določitve uporabne površine dela stavbe in prostornine rezervoarjev in silosov;
15. pravila vodenja podatkov o mejah občin z mejami parcel;
16. način pridobitve elaborata za izdelavo drugega mnenja in
17. podrobnejšo vsebino elaboratov za posamezno vrsto katastrskega postopka.
2. PODROBNEJŠI PODATKI O PARCELAH, STAVBAH IN DELIH STAVB 
2.1 Izmenjevalni formati
2. člen 
(izmenjevalni formati) 
(1) Za poenoteno vodenje podatkov katastra nepremičnin so izmenjevalni formati za vpis podatkov v kataster nepremičnin objavljeni na osrednjem spletnem mestu državne uprave.
(2) Izmenjevalni formati in njihove spremembe morajo biti objavljene vsaj 30 dni pred začetkom njihove uporabe.
2.2 Podrobnejši podatki o parcelah
3. člen 
(meja parcele) 
(1) Meje parcele se vpišejo v kataster nepremičnin, če je površina parcele enaka ali večja od 1 m².
(2) Spremenjena ali nova meja parcele se v katastru nepremičnin vpiše tako, da se vpišejo nove točke in njihove medsebojne povezave ali se spremenijo ali ukinejo obstoječe točke ter njihove medsebojne povezave.
(3) Točka se ukine, če se z izvedbo spremembe iz prejšnjega odstavka zmanjša število lomnih točk.
(4) Nova točka se vpiše, če se z izvedbo spremembe iz drugega odstavka tega člena poveča število lomnih točk.
(5) Točka se spremeni, če je sprememba koordinat točke v intervalu točnosti koordinat točke.
4. člen 
(številka točke) 
(1) Številka točke je sestavljena iz šifre katastrske občine in zaporedne številke v okviru katastrske občine.
(2) Točke na meji katastrskih občin se oštevilčijo v katastrski občini z nižjo številko šifre katastrske občine.
(3) Številka ukinjene točke se ne sme ponovno uporabiti, spremenjena točka pa ohrani številko.
5. člen 
(koordinate točke) 
(1) Za točko se vodijo ravninske koordinate in višinske koordinate v državnem prostorskem koordinatnem sistemu.
(2) Ravninske koordinate točk so določene z geodetsko izmero in drugimi geodetskimi metodami določitve koordinat ali z lokacijsko izboljšavo.
(3) Višinska koordinata točke je višina, ki je določena na podlagi grafičnega preseka katastrskega načrta in digitalnega modela reliefa.
(4) Koordinate točk se vodijo v metrih in se zaokrožijo na dve decimalni mesti.
6. člen 
(točnost koordinat točke) 
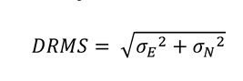
(1) Točnost ravninskih koordinat točke je določena kot koren srednjega kvadratnega odstopanja (v nadaljnjem besedilu: DRMS), ki se izračuna iz standardnih odklonov v smereh obeh koordinatnih osi σE in σN po naslednji enačbi:
Slika 1
(2) DRMS točke, ki v katastrskem postopku določa urejeno mejo, mora biti manjši ali enak 1 m (DRMS ≤ 1 m).
(3) Po določitvi DRMS se točki dodeli šifra točnosti iz šifranta, ki je sestavni del izmenjevalnih formatov iz 2. člena tega pravilnika.
7. člen 
(model transformacije koordinat, način označitve točke v naravi in status točke) 
(1) Model transformacije koordinat je verzija modela transformacije z državnim modelom transformacije, določenim v skladu s predpisi, ki urejajo državni geodetski referenčni sistem.
(2) Način označitve točke v naravi je podatek o vrsti znamenja, s katerim je označena točka v naravi.
(3) Status točke je podatek o tem, ali je točka določena ali spremenjena v upravnem, sodnem ali tehničnem postopku.
8. člen 
(namenska raba zemljišč) 
(1) Podatki o namenski rabi zemljišč se vodijo s šiframi, ki so določene v šifrantu namenske rabe zemljišč v Prilogi 1, ki je sestavni del tega pravilnika.
(2) Namenska raba zemljišč se izkazuje v obliki deležev površin namenskih rab za vsako parcelo posebej. Deleži so zapisani v odstotkih in zaokroženi na eno decimalno mesto.
2.3. Podrobnejši podatki o stavbah in delih stavb
9. člen 
(tloris stavbe) 
(1) Tloris stavbe se vpiše v kataster nepremičnin, če je njegova površina enaka ali večja od 1 m².
(2) Koordinate točk tlorisa stavbe se določijo v državnem prostorskem koordinatnem sistemu. Vodijo se v metrih in zaokrožijo na dve decimalni mesti.
(3) Koordinate točk tlorisa stavbe se določijo kot geodetska izmera v skladu z zakonom, ki ureja državni geodetski referenčni sistem.
(4) Površina tlorisa stavbe na parceli se izračuna iz ravninskih koordinat točk. Vodi se v kvadratnih metrih.
10. člen 
(tloris zemljišča pod stavbo, tloris nadzemnega dela stavbe in tloris podzemnega dela stavbe) 
(1) Tloris zemljišča pod stavbo se vodi kot poligon v državnem prostorskem koordinatnem sistemu.
(2) Površina tlorisa zemljišča pod stavbo na parceli se izračuna s presekom poligona tlorisa zemljišča pod stavbo in mej parcel. Vodi se v kvadratnih metrih.
(3) Tloris nadzemnega dela stavbe in tloris podzemnega dela stavbe se vodita kot poligona v državnem prostorskem koordinatnem sistemu.
(4) Tloris nadzemnega dela stavbe, tloris podzemnega dela stavbe in tloris zemljišča pod stavbo ne smejo segati izven tlorisa stavbe.
11. člen 
(podatek, s katero parcelo je stavba povezana) 
(1) Podatek, s katero parcelo je stavba povezana, je določen s tlorisom stavbe.
(2) Če je v katastru nepremičnin vpisan tloris stavbe, je podatek o povezavi stavbe s parcelo parcelna številka ene ali več parcel, na katerih je v katastru nepremičnin vpisan tloris te stavbe.
(3) Če v katastru nepremičnin ni vpisanega tlorisa stavbe, je podatek o povezavi stavbe s parcelo točka povezave. Točka povezave mora ležati znotraj tlorisa stavbe in hkrati znotraj parcele. Če stavba leži na več parcelah, ima več točk povezave. Informacija, katere od teh parcel so povezane s stavbo, se pridobi iz tlorisa nadzemnega dela stavbe, v primeru podzemnih stavb pa informacijo poda vlagatelj zahteve za vpis stavbe v kataster nepremičnin ali vpis spremembe podatkov katastra nepremičnin. Točka povezave je določena s koordinatami v državnem prostorskem koordinatnem sistemu. Koordinate točke povezave se izrazijo v metrih in zaokroži na dve decimalni mesti.
12. člen 
(centroid stavbe) 
(1) Stavbi se določi centroid stavbe.
(2) Koordinate centroida stavbe se določijo v državnem prostorskem koordinatnem sistemu. Vodijo se v metrih in zaokrožijo na dve decimalni mesti.
(3) Centroid stavbe leži znotraj tlorisa stavbe.
13. člen 
(višinske kote stavbe) 
(1) Višinske kote stavbe se določijo z geodetsko izmero v državnem prostorskem koordinatnem sistemu. Vodijo se v metrih in zaokrožijo na eno decimalno mesto.
(2) Najnižja višinska kota stavbe je višina tlaka v prvi etaži. Najvišja višinska kota stavbe je najvišja višina strehe ali zidanega dela stavbe. Karakteristična višina stavbe je višina terena ob glavnem vhodu v stavbo glede na površje zemljišča.
14. člen 
(etaža) 
(1) Številka etaže in številka pritlične etaže se vodita kot pozitivna cela številka.
(2) Številka pritlične etaže opredeljuje tisto etažo, ki je neposredno nad zemeljsko površino ali največ za pol etažne višine nad njo. Če stavba take etaže nima, se številka pritlične etaže ne določi.
(3) Višina tal etaže se določi v državnem prostorskem koordinatnem sistemu. Vodi se v metrih in zaokroži na eno decimalno mesto.
(4) Višina etaže se vodi v metrih in zaokroži na eno decimalno mesto. V primeru različnih višin etaže se vodi prevladujoča višina etaže.
15. člen 
(število etaž) 
(1) Število etaž je skupno število etaž v stavbi pod površjem in nad njim. Vodi se kot pozitivna cela številka.
(2) Medetaže se štejejo kot etaže.
16. člen 
(hišna številka) 
Za vsako hišno številko se določi povezava s številko stavbe iz katastra nepremičnin.
17. člen 
(centroid hišne številke) 
(1) Lega centroida hišne številke je določena s centroidom stavbe.
(2) Če ima stavba določenih več hišnih številk, se za vsako hišno številko določi svoj centroid, praviloma blizu vhoda v stavbo, ki ga označuje, vendar znotraj tlorisa stavbe.
(3) Koordinate centroida hišne številke se določijo v državnem prostorskem koordinatnem sistemu. Vodijo se v metrih in zaokrožijo na dve decimalni mesti.
18. člen 
(dovoljena raba stavbe) 
Dovoljena raba stavbe se prevzame iz prostorskega informacijskega sistema do nivoja podrazreda natančno.
19. člen 
(poligon dela stavbe) 
Točke poligona dela stavbe se vpišejo s koordinatami v državnem prostorskem koordinatnem sistemu. Koordinate se vodijo v metrih in zaokrožijo na dve decimalni mesti.
20. člen 
(sestavina dela stavbe) 
(1) Lomne točke poligona sestavine dela stavbe se vpišejo s koordinatami v državnem prostorskem koordinatnem sistemu. Koordinate se vodijo v metrih in zaokrožijo na dve decimalni mesti.
(2) Površina sestavine dela stavbe se vodi v kvadratnih metrih.
(3) Vrsti sestavin delov stavb sta atrij in parkirišče.
(4) Identifikacijska oznaka sestavine dela stavbe je določena z zaporedno številko znotraj Republike Slovenije.
21. člen 
(neto tlorisna površina dela stavbe) 
(1) Neto tlorisna površina dela stavbe je vsota površin prostorov, ki pripadajo delu stavbe. Pri izračunu neto tlorisne površine dela stavbe se ne upoštevajo površine prostorov, po katerih se hodi samo med vzdrževanjem (npr. prazni prostori med zemljiščem in spodnjo stranjo stavbe, prostori znotraj prezračevanih streh in nepohodni podstrešni prostori).
(2) Neto tlorisna površina dela stavbe se izračuna v skladu s standardom SIST ISO 9836 tako, da se glede načina meritev in določitve površin uporabljata točki 5.1.1.1 in 5.1.5, razen točke 5.1.5.2 v delu, ki določa razdelitev na način iz točke 5.1.3.1, in točke 5.1.5.5.
(3) Dolžine stranic prostora se merijo na centimeter natančno. Stranice se merijo v višini tal, pri čemer se ne upoštevajo obrobe, pragovi ipd. Dolžine stranic prostorov, ki niso zaprti do polne višine ali so samo delno zaprti in nimajo elementov, ki omejujejo prostor (npr. balkon, terasa), se merijo do roba.
(4) Neto tlorisna površina dela stavbe se vodi v kvadratnih metrih in zaokroži na eno decimalno mesto.
(5) Če ima stavba en del stavbe ali če ima stavba več delov stavbe in je vsak od njih cela etaža ali več celih etaž, se lahko neto tlorisna površina dela stavbe ne glede na določbe tega člena izračuna iz merskih podatkov zemljišča pod stavbo in tlorisa stavbe ob upoštevanju debelin zunanjih zidov stavbe in števila etaž, če naročnik elaborata, ki je podlaga za vpis stavbe in delov stavbe v kataster nepremičnin, to zahteva.
(6) Podrobnejši način merjenja prostorov, izračun neto tlorisne površine dela stavbe in površine prostorov so določeni v Prilogi 3, ki je sestavni del tega pravilnika.
22. člen 
(uporabna površina dela stavbe) 
(1) Uporabna površina dela stavbe se vodi v kvadratnih metrih in zaokroži na eno decimalno mesto.
(2) Uporabna površina dela stavbe se izračuna v skladu s točko 5.1.7.1 standarda SIST ISO 9836.
(3) Način določitve uporabne površine dela stavbe je v Prilogi 3 tega pravilnika.
23. člen 
(prostornina rezervoarjev in silosov) 
(1) Prostornina rezervoarjev in silosov se izračuna v skladu s točko 5.2.1.2.a standarda SIST ISO 9836.
(2) Prostornina rezervoarjev in silosov se vodi v kubičnih metrih in zaokroži na eno decimalno mesto.
(3) Podrobnejši način določitve prostornine rezervoarjev in silosov je v Prilogi 3 tega pravilnika.
24. člen 
(vrsta in površina prostorov) 
(1) Površina prostora se vodi v kvadratnih metrih in zaokroži na eno decimalno mesto.
(2) Vrste prostorov in povezava dejanske rabe delov stavb na klasifikacijo vrst objektov CC-SI v skladu s predpisom, ki ureja razvrščanje objektov, so navedeni v Prilogi 2, ki je sestavni del tega pravilnika.
25. člen 
(dejanska raba dela stavbe) 
Vrste dejanskih rab dela stavbe so navedene v Prilogi 2 tega pravilnika.
26. člen 
(hišna številka dela stavbe) 
(1) Če je stavbi določena hišna številka, se delu stavbe vpiše hišna številka le, če je del stavbe stanovanje ali poslovni prostor.
(2) Če je stavbi določenih več hišnih številk, se delu stavbe lahko vpiše ena izmed hišnih številk, ki je določena stavbi glede na lego oziroma dostop do dela stavbe.
(3) Del stavbe ima lahko le eno hišno številko.
3. NAČIN IZKAZOVANJA PARCELNE ŠTEVILKE, ŠTEVILKE STAVBE IN ŠTEVILKE DELA STAVBE 
27. člen 
(izkazovanje parcelne številke) 
(1) Parcelna številka se izkazuje tako, da se izpiše: beseda »parcela«, po presledku šifra katastrske občine brez vodilnih ničel, po presledku številka parcele, ki je določena v okviru katastrske občine, brez vodilnih ničel, ki ji sledita poševnica in poddelilka brez vodilnih ničel, če je ta določena.
(2) Parcelna številka se lahko izkazuje tudi tako, da se izpiše: besedilo »katastrska občina«, po presledku šifra katastrske občine brez vodilnih ničel, po presledku ime katastrske občine, po presledku beseda »parcela«, po presledku številka parcele, ki je določena v okviru katastrske občine, brez vodilnih ničel, ki ji sledita poševnica in poddelilka brez vodilnih ničel, če je ta določena.
28. člen 
(izkazovanje številke stavbe in številke dela stavbe) 
(1) Številka stavbe se izkazuje tako, da se izpiše: beseda »stavba«, po presledku šifra katastrske občine brez vodilnih ničel, ki ji sledi vezaj in številka stavbe, ki je določena v okviru katastrske občine, brez vodilnih ničel.
(2) Številka stavbe se lahko izkazuje tudi tako, da se izpiše: besedilo »katastrska občina«, po presledku šifra katastrske občine brez vodilnih ničel, po presledku ime katastrske občine, po presledku beseda »stavba« in po presledku številka stavbe, ki je določena v okviru katastrske občine, brez vodilnih ničel.
(3) Številka dela stavbe se izkazuje tako, da se izpiše: besedilo »del stavbe«, po presledku šifra katastrske občine brez vodilnih ničel, ki ji sledi vezaj in številka stavbe, ki je določena v okviru katastrske občine, brez vodilnih ničel, ter vezaj in številka dela stavbe, ki je določena v okviru stavbe, brez vodilnih ničel.
(4) Številka dela stavbe se lahko izkazuje tudi tako, da se izpiše: besedilo »katastrska občina«, po presledku šifra katastrske občine brez vodilnih ničel, po presledku ime katastrske občine, po presledku beseda »stavba«, po presledku številka stavbe, ki je določena v okviru katastrske občine, brez vodilnih ničel, po presledku besedilo »del stavbe« in po presledku številka dela stavbe, ki je določena v okviru stavbe, brez vodilnih ničel.
4. PRAVILA ZA IZDELAVO ELABORATOV 
4.1 Splošno
29. člen 
(obrazci za izdelavo elaboratov) 
(1) V katastrskih postopkih se elaborati pripravijo na naslednjih obrazcih, ki so v Prilogi 5, ki je sestavni del tega pravilnika:
1. obrazec I: izjava vlagatelja zahteve;
2. obrazec N: naslovna stran elaborata;
3. obrazec V: vsebina elaborata;
4. obrazec P-1: skica;
5. obrazec P-2: prikaz sprememb;
6. obrazec P-3: strokovno poročilo;
7. obrazec B: poročilo bonitiranja zemljišča;
8. obrazec IZB: predlog izboljšave na širšem območju;
9. obrazec S-1: podatki o stavbi;
10. obrazec S-2: načrt stavbe;
11. obrazec S-3: etažni načrt;
12. obrazec S-4: podatki o delih stavbe;
13. obrazec S-5: prostori in površina;
14. obrazec S-6: sestavina dela stavbe;
15. obrazec S-7: preštevilčba;
16. obrazec S-8: katastrski podatki o stavbi in delu stavbe, ki se spreminjajo z zahtevo brez elaborata;
17. obrazec S-9: podatki o stavbi in delu stavbe, ki se spreminjajo z zahtevo brez elaborata;
18. obrazec S-10: prikaz sprememb za stavbe;
19. obrazec OB-0: spreminjanje mej občin;
20. obrazec OB-1: skica;
21. obrazec OB-2: prikaz sprememb;
22. obrazec OB-3: strokovno poročilo.
(2) Obrazci iz prejšnjega odstavka se izdelajo v digitalni obliki.
4.2 Pravila za izdelavo elaboratov spreminjanja podatkov o parcelah
30. člen 
(strokovna pravila za koordinatni vklop) 
Koordinatni vklop mora biti izveden tako, da se ob upoštevanju podatkov iz zbirke listin grafično prilagodi okolica parcel brez ustvarjanja dodatnih lomov ter da se ohranjajo topološka pravilnost, oblika parcele in medsebojna razmerja med parcelami.
31. člen 
(neposredna bližina meje parcele in točnost obstoječega dela meje) 
(1) Neposredna bližina meje parcele se določi za vsak del meje parcele posebej. Neposredna bližina meje parcele je enaka dvakratniku točnosti obstoječega dela meje parcele.
(2) Točnost dela meje je enaka točnosti koordinat krajišč daljice (v nadaljnjem besedilu: točka daljice), ki določata del meje. Točnost dela meje določa zgornja meja intervala vrednosti, določenega za posamezno šifro točnosti v šifrantu, ki je sestavni del izmenjevalnih formatov iz 2. člena tega pravilnika. Če je točnost točk daljice različna, se točnost dela meje vzdolž meje določi z linearno interpolacijo točnosti točk, ki določata krajišči daljice.
(3) Če ena izmed točk daljice, ki določajo mejo parcele, nima določene točnosti koordinat, se šteje, da točnost dela meje ni določena.
(4) Če točka daljice nima določene točnosti koordinat in je bila koordinata določena z numeričnimi metodami izmere in na podlagi izmere izdelani načrti v merilu 1:1000, 1:2000 ali 1:2500, se šteje, da je neposredna bližina meje na teh območjih določena z dvakratno grafično natančnostjo merila načrta.
32. člen 
(način določitve predlagane meje) 
(1) Za določitev predlagane meje po podatkih katastra nepremičnin in za ugotovitev, ali se pokazana meja razlikuje od podatkov katastra nepremičnin, se uporabijo podatki katastra nepremičnin, vključno s podatki iz zbirke listin.
(2) Če je točnost koordinat točk meje parcele nižja od 20 cm, pooblaščeni geodet pred uporabo teh koordinat oceni zanesljivost in točnost koordinat točk na podlagi primerjave in analize podatkov zbirke listin ter meritev pred izvedbo mejne obravnave. Pri določitvi predlagane meje v okviru ocenjene točnosti se lahko upošteva tudi mejo dejanskega uživanja oziroma potek meje po grajenih ali naravnih objektih.
33. člen 
(vodenje zapisnika mejne obravnave) 
(1) Pooblaščeni geodet, ki vodi mejno obravnavo, zapisnik mejne obravnave piše sam ali ga po njegovih navodilih piše druga oseba.
(2) Pred začetkom mejne obravnave se lahko pripravi okvirni del zapisnika mejne obravnave, ki vsebuje:
– navedbo parcelne številke parcele, za katero se ureja meja, ter šifro in ime katastrske občine,
– navedbo kraja in časa začetka izvedbe mejne obravnave,
– navedbo imena in priimka pooblaščenega geodeta, ki vodi mejno obravnavo,
– navedbo oseb, vabljenih na mejno obravnavo. Če je vabljena fizična oseba, se navede ime in priimek, naslov stalnega prebivališča in leto rojstva, za pravne osebe pa ime oziroma firma in naslov sedeža. Za vsakega vabljenega se navede tudi parcelna številka parcele, katere lastnik je. Če vabljena oseba ni lastnik parcele, ki se ureja, ali lastnik sosednje parcele, mora biti naveden razlog vabila (npr. hipotekarni upnik). Za pravne osebe se navede oseba, ki zastopa pravno osebo, in njen položaj (zakoniti zastopnik, pooblaščenec).
(3) Na začetku mejne obravnave se ugotovi, katere vabljene osebe so prisotne. Če so na mejni obravnavi poleg vabljenih oseb prisotne druge osebe, ki so lahko stranke v mejni obravnavi, se zanje v zapisniku mejne obravnave navede podatke iz četrte alineje prejšnjega odstavka.
(4) Zapisnik mejne obravnave vsebuje natančen vrstni red, potek in vsebino v postopku opravljenih dejanj in danih izjav. Zapisnik mejne obravnave se vodi tako, da je iz njega mogoče nedvoumno ugotoviti, pri katerih dejanjih so bili posamezni udeleženci prisotni in kaj so izjavili. V opisu poteka mejne obravnave mora biti navedeno zlasti, kateri udeleženci soglašajo s predlagano mejo in kateri udeleženci so pokazali svojo pokazano mejo, ker s predlagano mejo ne soglašajo. Iz zapisnika mejne obravnave mora biti nedvoumno razvidno, na katero predlagano mejo ali njen del oziroma pokazano mejo ali njen del se nanaša soglasje oziroma druge izjave udeležencev. Meja, ki se ureja, se v zapisniku mejne obravnave navede s parcelno številko parcel in točkami, ki so predmet mejne obravnave, ali z eno ali več skic meje ali dela meje parcele z navedenimi parcelnimi številkami in točkami, ki so predmet mejne obravnave.
(5) Pooblaščeni geodet na mejni obravnavi posebej opozori in v zapisniku mejne obravnave navede:
– katere pokazane meje se razlikujejo od meje po podatkih katastra nepremičnin, z navedbo dejanskih in dopustnih odstopanj za vsako lomno točko na tej meji,
– da je udeležence na mejni obravnavi, ki so pokazali mejo, ki se razlikuje od meje po podatkih katastra nepremičnin, opozoril, da take meje ni mogoče vpisati v kataster nepremičnin kot urejene meje,
– da se šteje, da se udeleženci strinjajo s predlagano mejo, če niso pokazali svoje pokazane meje, tudi če na mejni obravnavi s predlagano mejo ne soglašajo,
– podatke oziroma dejansko stanje v naravi, na podlagi katerih je določil predlagano mejo, če se dve ali več pokazanih mej ne razlikujejo od meje po podatkih katastra nepremičnin.
(6) Če se na mejni obravnavi predložijo dokumenti (npr. stari načrti, skice, fotografije, ugotovitve iz faze priprav na mejno obravnavo), se priložijo zapisniku mejne obravnave.
(7) Zapisnik mejne obravnave se vodi kronološko. Če se mejna obravnava ne konča isti dan, se v zapisnik mejne obravnave za vsak dan posebej vpišejo dejanja, ki so bila izvedena tega dne, in ta del podpišejo stranke in drugi udeleženci, ki so sodelovali na mejni obravnavi določenega dne.
(8) Če se mejna obravnava za isto parcelo izvede z udeleženci ločeno, mora biti to razvidno iz zapisnika mejne obravnave. Iz zapisnika mejne obravnave mora biti razvidno tudi, da je v primeru, ko je nadaljevanje mejne obravnave z drugimi udeleženci vplivalo na predhodna izvedena dejanja, pooblaščeni geodet o tem pisno seznanil udeležence prej izvedenega dela mejne obravnave. Če so se udeleženci prej izvedenega dela mejne obravnave s spremembami strinjali, se mejna obravnava ne ponovi. V vseh ostalih primerih se mejna obravnava v tem delu ponovno izvede, izjave in soglasja, dana v predhodno izvedeni mejni obravnavi, se v tem primeru ne upoštevajo.
(9) Preden udeleženec podpiše zapisnik mejne obravnave, se mu ga prebere. Če želi, zapisnik mejne obravnave udeleženec prebere sam. Če je na mejni obravnavi več udeležencev, pooblaščeni geodet lahko prebere udeležencu le tisti del zapisnika, ki se nanaša nanj, če se ta udeleženec s tem strinja.
(10) Če udeleženec želi podpisati le svojo prisotnost na mejni obravnavi, mora biti to v zapisniku mejne obravnave nedvoumno zapisano, navedeno pa mora biti tudi, pri katerih dejanjih je bil prisoten.
(11) Popravki in dopolnitve že podpisanih delov zapisnika mejne obravnave se navedejo na koncu zapisnika mejne obravnave, s podpisi pooblaščenega geodeta in udeležencev, na katere popravek ali dopolnitev vpliva.
34. člen 
(vodenje zapisnika mejne obravnave v postopku nove izmere) 
(1) V opisu poteka mejne obravnave v postopku nove izmere se v zapisniku mejne obravnave namesto vsebine iz četrtega odstavka prejšnjega člena navede le, kateri udeleženci soglašajo s predlagano mejo ali delom meje in kateri udeleženci ne soglašajo s predlagano mejo ali delom meje. Iz zapisnika mora biti nedvoumno razvidno, na katero predlagano mejo ali njen del se nanaša soglasje ali nesoglasje udeležencev. Meja, ki se ureja, se v zapisniku navede s parcelno številko parcel in točkami, ki so predmet mejne obravnave, ali z eno ali več skic meje ali dela meje parcele z navedenimi parcelnimi številkami in točkami, ki so predmet mejne obravnave.
(2) Iz zapisnika mejne obravnave v postopku nove izmere mora biti razvidno, da je pooblaščeni geodet na mejni obravnavi v postopku nove izmere namesto opozoril iz petega odstavka prejšnjega člena udeležence posebej opozoril, da bodo v katastru nepremičnin kot urejene vpisane samo soglasno urejene meje in da bo, če ne bo doseženo soglasje, izvedena lokacijska izboljšava te meje.
(3) Če se v postopku nove izmere izvede preureditev parcel se v postopku nove izmere za parcele na območju preureditve parcel izdela tudi zapisnik o preureditvi parcel, ki vsebuje:
– navedbo parcelnih številk na območju preureditve parcel in grafični prikaz stanja po preureditvi parcel z navedbo parcelnih številk in točk na mejah parcel po preureditvi,
– navedbo parcelnih številk in vseh lastnikov za vse parcele na območju preureditve in podpis soglasja vseh lastnikov parcel z izvedeno preureditvijo parcel.
35. člen 
(izjava o soglasju k izravnani meji) 
(1) Izjavo o soglasju k izravnani meji mora lastnik parcele dati pisno.
(2) Izjava o soglasju k izravnani meji vsebuje:
– navedbo parcelnih številk parcel in točk, med katerimi se izravna meja, ter ime in šifro katastrske občine,
– navedbo lastnikov parcel, med katerimi se izravnava meja, in
– podpis soglasja z izravnano mejo lastnikov parcel, med katerimi se izravna meja.
36. člen 
(označitev urejene meje parcele v naravi, dodatni mejniki in posredna označitev meje) 
(1) Urejena meja parcele se v naravi označi tako, da se točke označijo z mejniki.
(2) Če je pri označitvi urejene meje parcele ugotovljeno, da v naravi že obstajajo mejniki, vendar niso postavljeni na pravem mestu, geodetsko podjetje te mejnike odstrani oziroma postavi na pravo mesto.
(3) Urejena meja parcele se v naravi lahko označi z dodatnimi mejniki, ki morajo biti postavljeni tako, da ne spremenijo poteka urejene meje parcele. Za dodatni mejnik se v katastru nepremičnin določi točka.
(4) Če mejnika zaradi fizičnih ovir v naravi ni mogoče postaviti v naravi na mejo parcele, se meja parcele lahko označi posredno. Posredna označba mora nedvoumno označevati položaj točke. Za posredno označbo se ne sme uporabiti mejnikov iz prve, druge in tretje alineje 37. člena tega pravilnika.
(5) Posredna označitev meje iz prejšnjega odstavka se izvede na parceli lastnika, ki zahteva označitev meje, ali na sosednji parceli, če s tem soglaša lastnik sosednje parcele.
(6) Če ratificirana mednarodna pogodba prepoveduje postavljanje mejnikov na oziroma ob državni meji, se del meje parcele, ki poteka po državni meji, lahko označi s posredno označbo, del meje parcele, ki se državne meje dotika, pa se lahko označi s posredno označbo ali dodatnim mejnikom.
37. člen 
(mejniki) 
Vidni del mejnika v naravi je lahko:
– kvadratne oblike velikosti 10 x 10 cm,
– okrogle oblike s premerom najmanj 2 cm in največ 10 cm,
– križ velikosti 5 x 5 cm, vklesan v naravni kamen ali v grajen objekt, ali
– druga nazorna označba, ki nedvoumno in trajno označuje položaj točke v naravi.
4.3. Pravila za izdelavo elaboratov vpisa podatkov o stavbi in delih stavb oziroma vpisa sprememb podatkov o stavbi in delih stavb
38. člen 
(zapisnik obravnave elaborata vpisa podatkov o stavbi in delih stavb oziroma vpisa sprememb podatkov o stavbi in delih stavb) 
Če je posameznik lastnik vseh delov stavbe ali vseh delov stavbe, ki se spreminjajo, se lahko namesto zapisnika obravnave elaborata na obrazec S-1 iz Priloge 5 tega pravilnika vpiše njegova izjava, ki jo mora podpisati, da podatki izkazujejo dejansko stanje stavbe in delov stavb v naravi.
39. člen 
(zapisnik obravnave elaborata v primeru sprememb podatkov o stavbah in skupnih delih stavb) 
Za podatke o stavbi in za skupne dele stavb, ki so v etažni lastnini, se obravnava elaborata izvede z upravnikom stavbe, če je ta določen. Če upravnik stavbe ni določen, se obravnava izvede z vsemi etažnimi lastniki.
40. člen 
(etažni načrt) 
(1) V postopku izdelave elaborata se izdela etažni načrt v elektronski obliki.
(2) Etažni načrt se izdela za vsako etažo posebej. Etažni načrti se oštevilčijo s številko stavbe in številko etaže. Za vsako etažo se vodi podatek o poligonu etaže, višini tal in višini etaže.
(3) V etažnem načrtu se prikažejo poligoni, ki pripadajo posameznemu delu stavbe. Del stavbe ima lahko več poligonov v eni ali več etažah. Poligoni se označijo s številko dela stavbe in številko etaže. Poligoni istih delov stavb v eni etaži se ne smejo dotikati.
(4) Meja poligona, ki pripadajo posameznemu delu stavbe, se vpiše s koordinatami v državnem prostorskem koordinatnem sistemu. Koordinate se vodijo v metrih in zaokrožijo na dve decimalni mesti. Pri določitvi mej poligona se ne upošteva debeline sten. Meje poligona morajo biti vpisane tako, da je razmerje površin poligonov v etažnem načrtu sorazmerno razmerju izmerjenih površin poligonov v posamezni etaži.
(5) Etažni načrti posameznih etaž morajo biti lokacijsko usklajeni med seboj in s tlorisom stavbe.
5. VRSTE ELABORATOV 
5.1 Skupni določbi
41. člen 
(elaborat) 
(1) Elaborati morajo vsebovati obrazec N in obrazec V iz Priloge 5 tega pravilnika.
(2) Če se hkrati izvede več katastrskih postopkov, se lahko izdela skupen elaborat. Na naslovni strani skupnega elaborata se navedejo vsi izvedeni katastrski postopki, v skupnem elaboratu pa se nahaja zbir sestavin elaboratov posameznih katastrskih postopkov tako, da je vsaka sestavina v skupnem elaboratu le enkrat.
(3) Ne glede na prejšnji odstavek se skupnega elaborata ne izdela za naslednje katastrske postopke:
– nova izmera,
– komasacija,
– spremembe bonitete zemljišč ali
– določitev spremenjenih mej občin, ki ga sporazumno izvedeta občini.
(4) Pooblaščeni geodet ali pooblaščeni projektant z elektronskim podpisom na naslovni strani elaborata potrdi, da elaborat izkazuje dejansko stanje na terenu in je izdelan v skladu s predpisi, standardi in pravili za evidentiranje nepremičnin. Datum elektronskega podpisa se šteje kot datum potrditve elaborata.
(5) Če elaborat izdela Geodetska uprava Republike Slovenije (v nadaljnjem besedilu: geodetska uprava), se na naslovni strani namesto podatkov o podjetju vpišejo podatki organizacijske enote geodetske uprave, ki je izdelala elaborat in namesto podatkov o pooblaščenem geodetu ali pooblaščenem projektantu podatki o uradni osebi geodetske uprave, ki je potrdila elaborat. Uradna oseba geodetske uprave, ki je potrdila elaborat z elektronskim podpisom na naslovni strani elaborata, potrdi, da je elaborat izdelan v skladu s predpisi, standardi in pravili za evidentiranje nepremičnin.
(6) Na naslovni strani elaborata za vpis sprememb v katastru nepremičnin na podlagi pravnomočne sodne odločbe ali sodne poravnave se ne vpišejo podatki o podjetju, namesto podatkov o pooblaščenemu geodetu ali pooblaščenemu projektantu pa se vpišeta ime in priimek sodnega izvedenca geodetske stroke, namesto številke objave katastrskega postopka se vpiše datum dokončanja elaborata. Sodni izvedenec z elektronskim podpisom na naslovni strani elaborata potrdi, da je elaborat izdelan v skladu s predpisi, standardi in pravili za evidentiranje nepremičnin.
(7) Navodila za izpolnitev obrazcev, ki jih morajo vsebovati elaborati, in primeri izpolnjenih obrazcev so objavljeni osrednjem spletnem mestu državne uprave.
42. člen 
(izjava vlagatelja zahteve) 
Kadar zahtevo z elaboratom vloži v informacijski sistem kataster pooblaščeni geodet ali pooblaščeni projektant, se elaboratu priloži podpisana izjava vlagatelja zahteve o njegovi privolitvi, da se zahteva z elaboratom vloži v informacijski sistem kataster, na obrazcu I iz Priloge 5 tega pravilnika.
5.2 Elaborati spreminjanja podatkov o parcelah
43. člen 
(elaborati za spreminjanje podatkov o parcelah) 
Elaborati za spreminjanje podatkov o parcelah se oblikujejo glede na vrsto katastrskih postopkov in so naslednji:
1. elaborat ureditve meje parcele,
2. elaborat označitve urejene meje parcele,
3. elaborat nove izmere,
4. elaborat lokacijske izboljšave,
5. elaborat parcelacije,
6. elaborat izravnave meje,
7. elaborat komasacije,
8. elaborat določitve območja služnosti in območja stavbne pravice in
9. elaborat spremembe bonitete zemljišč.
44. člen 
(sestavine elaborata) 
Sestavine elaboratov, ki se izdelajo za spreminjanje podatkov o parceli, razen elaborata spremembe bonitete zemljišč iz 73. člena tega pravilnika, so poleg obrazca N in obrazca V še naslednji obrazci iz Priloge 5 tega pravilnika:
– obrazec P-1,
– obrazec P-2,
– obrazec P-3.
45. člen 
(oblika elaborata) 
(1) Elaborat se izdela v formatu A4.
(2) Ne glede na prejšnji odstavek se lahko obrazec P-1 in obrazec P-2 izdelata v formatu A3, če je to potrebno zaradi preglednosti vsebine.
(3) Strani elaborata se oštevilčijo.
(4) Obrazci iz prvega odstavka prejšnjega člena so lahko izdelani na več straneh. Če so izdelani na več straneh, mora biti na vsaki strani ponovljena glava obrazca.
46. člen 
(obrazec P-1: skica)
(1) Skica je položajno usklajen prikaz fizičnih struktur in pojavov na zemeljskem površju ter podatkov o parcelah in stavbahv času izvedbepostopka za izdelavo elaborata.
(2) Skica se izdela na obrazcu P-1 iz Priloge 5 tega pravilnika. Skica vsebuje naslednje podatke:
1. o mejah parcel, tlorisu stavbe in sestavinah delov stavbe, območjih služnosti in območjih stavbne pravice, območjih občin, območjih katastrskih občin, državni meji,
2. parcelne številke, številke stavb, identifikacijske oznake območij stavbnih pravic, identifikacijske oznake območij služnosti, identifikacijske oznake sestavin delov stavb, šifre in imena občin ter šifre in imena katastrskih občin,
3. o točkah,
4. o označitvi točk,
5. o v naravi izmerjenih razdaljah:
– med točkami na meji parcel,
– med točkami na meji parcel in drugimi točkami, uporabljenimi pri izmeri,
6. o lastnikih (ime in priimek oziroma firma),
7. o topografski vsebini,
8. o geodetskih točkah.
(3) Skica ima tudi opis skice, ki poleg podatkov, navedenih na obrazcu, vsebuje tudi pomen uporabljenih dodatnih simbolov in dodatnih barv.
(4) V skici elaborata ureditve meje se prikažejo tudi pokazane meje in razdalje med pokazanimi mejami in predlagano mejo, pri čemer se označi, kdo je pokazal posamezno pokazano mejo.
(5) V skici elaborata parcelacije se navede tudi predpis ali akt omejitve spreminjanja mej parcel, če se je ta upošteval pri izdelavi elaborata.
47. člen 
(obrazec P-2: prikaz sprememb)
Prikaz sprememb se izdela na obrazcu P-2 iz Priloge 5 tega pravilnika. V prikazu sprememb se prikažejo podatki, ki so vpisani v katastru nepremičnin, in spremembe, predlagane v elaboratu. Spremembe meje parcele, območja služnosti, območja stavbne pravice in določitev spremenjenih mej občin se prikažejo grafično, spremembe drugih podatkov pa opisno.
48. člen 
(obrazec P-3: strokovno poročilo)
Strokovno poročilo se izdela na obrazcu P-3 iz Priloge 5 tega pravilnika. Strokovno poročilo vsebuje:
– podatke o določitvi koordinattočk,
– izračun površin,
– uporabljene podatke in
– analizo točnosti.
49. člen 
(podatki o določitvi koordinat točk) 
(1) Če se spremenijo ali na novo določijo koordinate točk, vsebuje strokovno poročilo iz prejšnjega člena podatke o določitvi koordinat točk, ki omogočajo ponovno izvedbo in sledljivost postopka ter preveritev izvedenih opazovanj, izračunov in predlaganih sprememb koordinat.
(2) Podatki o določitvi koordinattočk so:
– podatki izmere, kontrolnih merjenj in izračun koordinat, če se koordinate določijo z geodetsko izmero ali drugimi geodetskimi metodami določitve koordinat,
– podatki o transformaciji, če se koordinate določijo s transformacijo,
– opis postopka lokacijske izboljšave z navedbo in opisom metode določitve koordinat točk, če se koordinate določijo z lokacijsko izboljšavo,
– seznam točk katastra nepremičnin s podatki točk pred in po spremembi.
50. člen 
(izračun površin in mejna vrednost) 
(1) Površina parcele, območja stavbne pravice na parceli in območja služnosti na parceli se vodi v kvadratnih metrih.
(2) Površina urejene parcele se izračuna iz ravninskih koordinat točk in se zaokroži na kvadratni meter.
(3) Površina parcele, ki ni urejena, se spremeni, če je absolutna vrednost razlike med vpisano površino in površino, izračunano iz ravninskih koordinat točk po spremembi, večja od 10 % vpisane površine.
(4) Ob spremembi podatkov o mejah parcele se z novim stanjem uskladijo naslednji podatki:
– podatek, s katero stavbo je parcela povezana,
– površina tlorisa stavbe na parceli,
– površina zemljišča pod stavbo na parceli in
– podatki o sestavinah delov stavbe na parceli.
51. člen 
(uporabljeni podatki) 
(1) Strokovno poročilo vsebuje navedbo podatkov, ki so bili uporabljeni v postopkih za izdelavo elaborata, utemeljitev uporabe navedenih podatkov in posebej navedbo razlogov, kadar niso bili uporabljeni zadnji vpisani in drugi razpoložljivi podatki.
(2) V strokovnem poročilu elaborata za vpis sprememb v katastru nepremičnin na podlagi pravnomočne sodne odločbe ali sodne poravnave se uporabljeni podatki ne navedejo.
52. člen 
(analiza točnosti) 
(1) Strokovno poročilo vsebuje analizo točnosti, ki vsebuje analizo točnosti koordinat točk in določitev neposredne bližine meje parcele.
(2) Analiza točnosti dokazuje, da spremenjena ali nova meja ne posega v sosednjo parcelo.
(3) Če na podlagi vpisanih podatkov o točnosti točk ni mogoče dokazati izpolnjevanja pogoja iz prejšnjega odstavka, mora biti to utemeljeno z dodatnimi meritvami, lokacijsko izboljšavo ali ureditvijo meje.
53. člen 
(druge sestavine elaboratov) 
Poleg sestavin elaboratov iz 44. člena tega pravilnika so sestavine posameznih elaboratov naslednje:
1. sestavine elaborata ureditve meje so tudi:
– dokazila, da so bile stranke, ki se postopka izdelave elaborata ureditve meje niso udeležile, pravilno vabljene,
– seznam oseb, ki v zemljiški knjigi nimajo vpisanega podatka o EMŠO ali matični številki pravne osebe oziroma v katastru nepremičnin upravljavec ni vpisan z matično številko pravne osebe, in
– zapisnik mejne obravnave;
2. sestavina elaborata izravnave meje so tudi izjave lastnikov o soglasju k izravnanem delu meje in dokazila o izpolnjevanju pogojev za izravnavo;
3. sestavina elaborata označitve urejene meje parcele je tudi navedba obveščenih lastnikov parcel in lastnikov, ki so se udeležili označitve urejene meje v naravi;
4. sestavini elaborata parcelacije sta tudi načrt parcel, če se parcelacija izvede zaradi načrtovane prostorske ureditve v postopkih prostorskega načrtovanja, in soglasje k parcelaciji, kadar to določajo predpisi, ki urejajo prostor;
5. sestavina elaborata nove izmere so tudi:
– dokazila o izpolnjevanju pogojev za uvedbo nove izmere,
– dokazila o izpolnjevanju pogojev za preureditev parcel, če se izvaja;
6. sestavine elaborata pogodbene komasacije so tudi pogodba, načrt nove razdelitve zemljišč in komasacijsko soglasje ali dovoljenje;
7. sestavina elaborata upravne komasacije je tudi dokončna odločba upravnega organa.
54. člen 
(predlog za izvedbo lokacijske izboljšave na širšem območju izvedbe katastrskega postopka) 
(1) Predlog za izvedbo lokacijske izboljšave na širšem območju izvedbe katastrskega postopka se vloži na obrazcu IZB iz Priloge 5 tega pravilnika. Priloge obrazca IZB iz Priloge 5 tega pravilnika v izmenjevalnih formatih so naslednji podatki:
– koordinate točk, ki so bile določene v katastrskem postopku,
– koordinate točk iz arhivskih elaboratov, transformirane v državni prostorski koordinatni sistem,
– lokalne koordinate točk iz arhivskih elaboratov v primeru, ko transformacija v državni prostorski koordinatni sistem ni mogoča, in
– podatke obdelave katastrskega postopka z lokacijsko izboljšavo.
(2) Podatke iz druge in tretje alineje prejšnjega odstavka geodetsko podjetje posreduje za arhivske elaborate na območju parcel ali njihovih delov, ki so v pasu najmanj 200 m od meje parcele, za katero se izvaja katastrski postopek.
(3) Podatke iz prvega odstavka tega člena geodetsko podjetje posreduje geodetski upravi preko elektronske pošte.
5.3 Elaborat za vpis podatkov o stavbi in delih stavb oziroma vpis sprememb podatkov o stavbi in delih stavb
55. člen 
(vrste elaboratov) 
Za vzdrževanje podatkov o stavbah in delih stavb se uporabljata elaborat za vpis podatkov o stavbi in delih stavb ter elaborat za vpis sprememb podatkov o stavbi in o delih stavb.
56. člen 
(sestavine elaborata) 
(1) Elaborata iz prejšnjega člena se izdelata v formatu A4. Izjemoma se lahko etažni načrt izdela v formatu A3, če je to potrebno zaradi preglednosti vsebine. Strani elaborata se oštevilčijo.
(2) Elaborata iz prejšnjega člena obsegata:
– obrazce, na katerih se izdela elaborat,
– zapisnik obravnave elaborata,
– dokazila, da so bile stranke, ki se obravnave elaborata niso udeležile, pravilno vabljene, in seznam oseb, ki v zemljiški knjigi nimajo vpisanega podatka o EMŠO ali matični številki pravne osebe oziroma v katastru nepremičnin upravljavec ni vpisan z matično številko pravne osebe,
– podatke za vpis podatkov v kataster nepremičnin v predpisanih izmenjevalnih formatih in
– geolocirane fotografije stavbe.
57. člen 
(obrazci) 
(1) Sestavine elaboratov, ki se izdelajo za vzdrževanje podatkov o stavbah in delih stavb, so poleg obrazca N in obrazca V še naslednji obrazci iz Priloge 5 tega pravilnika:
1. obrazec S-1;
2. obrazec S-2;
3. obrazec S-3;
4. obrazec S-4;
5. obrazec S-5;
6. obrazec S-6;
7. obrazec S-7;
8. obrazec S-8;
9. obrazec S-9 in
10. obrazec S-10.
(2) Elaborat iz 55. člena tega pravilnika vsebuje poleg obrazcev iz prejšnjega odstavka še obrazec P-1 in obrazec P-3 s smiselno uporabo vsebin, ki so potrebne za vpis podatkov o tlorisu stavbe in sestavin delov stavb.
(3) Na eni strani je lahko več obrazcev, razen obrazca S-2 in obrazca S-3, ki morata biti izdelana vsak na svoji strani ali na več straneh.
(4) Obrazec je lahko izdelan na več straneh. Če je izdelan na več straneh, mora biti na vsaki strani ponovljena glava obrazca.
58. člen 
(obrazec S-1: podatki o stavbi)
(1) Za stavbe, ki imajo določenih več hišnih številk, se na obrazcu S-1 iz Priloge 5 tega pravilnika vpiše podatek o vseh naslovih.
(2) Izjava geodetskega podjetja ali projektanta, da je koordinate točk tlorisa stavbe določil oziroma tloris stavbe izdelal pooblaščeni geodet, se napiše na obrazcu S-1 iz Priloge 5 tega pravilnika.
59. člen 
(obrazec S-2: načrt stavbe)
(1) Prerez stavbe, iz katerega so razvidne lege vseh etaž v stavbi z vpisanimi številkami etaž, se prikaže na obrazcu S-2 iz Priloge 5 tega pravilnika. Označijo se tudi vhodi v stavbo in točke, na katere se nanašajo višine.
(2) Tloris stavbe, ki je navpična projekcija zunanjih obrisov celotne stavbe nad in pod zemljiščem na vodoravno ravnino, se prikaže na obrazcu S-2 iz Priloge 5 tega pravilnika. Tloris se izdela v merilu 1:200, 1:500 ali 1:1000 glede na preglednost vsebine in se posebej navede. Označi se smer proti severu. Posebej se prikaže nadzemni tloris stavbe, podzemni tloris stavbe in tloris zemljišča pod stavbo.
60. člen 
(obrazec S-3: etažni načrt)
(1) Izris etažnega načrta, ki zaradi preglednosti vsebuje tudi prerez stavbe, se prikaže na obrazcu S-3 iz Priloge 5 tega pravilnika.
(2) Obrazec S-3 iz Priloge 5 tega pravilnika vsebuje za vsako etažo višino tal in višino etaže ter merilo, v katerem je etažni načrt izrisan.
61. člen 
(obrazec S-6: sestavina dela stavbe)
Sestavina dela stavbe v povezavi s tlorisom stavbe in parcelo se grafično prikaže na obrazcu S-6 iz Priloge 5 tega pravilnika.
62. člen 
(obrazec S-7: preštevilčba)
Preštevilčba stavb in preštevilčba delov stavb se prikaže na obrazcu S-7 iz Priloge 5 tega pravilnika tako, da se navedejo številke stavb in številke delov stavb pred in po preštevilčbi. Preštevilčba številk stanovanj in številk poslovnih prostorov se prikaže tako, da se navedejo številke stanovanj in številke poslovnih prostorov pred in po preštevilčbi. Če številk ni, se stanje prikaže z oznako »/«.
63. člen 
(obrazec S-10: prikaz sprememb za stavbe)
V prikazu sprememb za stavbe se na obrazcu S-10 iz Priloge 5 tega pravilnika prikažejo podatki tlorisa stavbe in sestavin delov stavb, ki so vpisani v katastru nepremičnin, in spremembe, predlagane v elaboratu. Spremembe tlorisov stavbe in sestavin delov stavb se prikažejo grafično.
64. člen 
(elaborat za vpis podatkov o stavbi in delih stavb) 
(1) Elaborat za vpis podatkov o stavbi in delih stavb mora poleg obrazca N in obrazca V iz Priloge 5 tega pravilnika vsebovati naslednje:
1. obrazce iz Priloge 5 tega pravilnika:
– obrazec S-1;
– obrazec S-2;
– obrazec S-3;
– obrazec S-4;
– obrazec S-5;
– obrazec S-9;
– obrazec S-10;
– obrazec P-1;
– obrazec P-3;
2. zapisnik obravnave elaborata;
3. dokazila, da so bile stranke, ki se obravnave elaborata niso udeležile, pravilno vabljene in seznam oseb, ki v zemljiški knjigi nimajo vpisanega podatka o EMŠO ali matični številki pravne osebe oziroma v katastru nepremičnin upravljavec ni vpisan z matično številko pravne osebe;
4. fotografije stavbe.
(2) Elaborat za vpis podatkov o stavbi in delih stavb lahko vsebuje tudi:
– obrazec S-6 iz Priloge 5 tega pravilnika;
– obrazec S-7 iz Priloge 5 tega pravilnika;
– zahtevo naročnika elaborata za izračun površine dela stavbe v skladu s petim odstavkom 21. člena tega pravilnika.
65. člen 
(elaborat za vpis sprememb podatkov o stavbi in delih stavbe) 
Elaborat za vpis sprememb podatkov o stavbi in delih stavbe vsebuje podatke, določene s tem pravilnikom za posamezno vrsto spremembe podatkov.
66. člen 
(obrazci elaborata za vpis sprememb podatkov o stavbi in delih stavbe) 
(1) Vsebina elaborata za vpis sprememb podatkov o stavbi in delih stavbe je odvisna od podatka, ki se spreminja.
(2) Elaborat za vpis sprememb podatkov o stavbi in delih stavbe mora vsebovati obrazec N in obrazec V iz Priloge 5 tega pravilnika ter obrazce in dokumente iz 56. člena tega pravilnika, ki se jih sprememba dotika, in zapisnik o izvedeni obravnavi.
67. člen 
(način izpolnjevanja obrazcev pri izdelavi elaborata za vpis sprememb podatkov o stavbi in delih stavbe) 
(1) Pri izdelavi elaborata za vpis sprememb podatkov o stavbi in delih stavbe se obrazci za posamezne spremembe podatkov izpolnijo tako, da se izdela nov obrazec, lahko pa se podatki izpolnijo na kopiji obrazca iz elaborata že vpisane stavbe tako, da je pregledno in nedvoumno razvidno, kateri podatki so se spremenili in kako. Novo stanje se označi z rdečo barvo.
(2) Ne glede na prejšnji odstavek je treba obrazec spremembe izdelati na novem obrazcu v skladu s tem pravilnikom, če obrazec iz elaborata že vpisane stavbe ni izdelan v skladu s tem pravilnikom.
6. SPREMEMBE PODATKOV NA ZAHTEVO BREZ ELABORATA 
68. člen 
(spremembe podatkov o stavbi in o delih stavbe, ki se spreminjajo z zahtevo brez elaborata) 
(1) Če se spremenijo podatki o stavbi ali delu stavbe, ki se spreminjajo na zahtevo brez elaborata, mora biti zahtevi za spremembo podatkov o stavbi in delu stavbe priložen obrazec S-9 iz Priloge 5 tega pravilnika.
(2) Zahtevi iz prejšnjega odstavka se priložijo:
– v primeru spremembe letnic obnove stavbe oziroma dela stavbe: dokazila, ki izkazujejo spremenjeno leto obnove;
– v primeru spremembe podatka o upravniku dela stavbe: sklenjena pogodbo o upravljanju;
– v primeru spremembe podatka o vrsti prostorov ali podatka o površini prostorov: obrazec S-5 iz Priloge 5 tega pravilnika.
69. člen 
(spremembe podatkov o stavbi in delu stavbe, ki se spreminjajo z zahtevo brez elaborata in so vpisane v kataster nepremičnin s statusom stavbe »katastrsko vpisana stavba« oziroma s statusom dela stavbe »katastrsko vpisani del stavbe«) 
(1) Podatek o številu etaž, številki pritlične etaže, letu izgradnje stavbe, številki etaže in o dejanski rabi dela stavbe, v kolikor je stavba ali del stavbe vpisana v kataster nepremičnin s statusom stavbe »katastrsko vpisana stavba« oziroma s statusom dela stavbe »katastrsko vpisani del stavbe«, se lahko spremeni tudi na podlagi vlagateljeve zahteve za spremembo podatka o stavbi in delu stavbe na podlagi dokazil.
(2) Zahtevi iz prejšnjega odstavka se priloži obrazec S-8 iz Priloge 5 tega pravilnika.
(3) Zahtevi iz prvega odstavka tega člena se priložijo:
– v primeru spremembe podatka o dejanski rabi dela stavbe: obrazec S-5 iz Priloge 5 tega pravilnika ter fotografija, ki izkazuje dejansko rabo dela stavbe;
– v primeru spremembe podatka o številu etaž, podatka o številki etaže ali podatka o številki pritlične etaže: prerez stavbe z označenimi etažami;
– v primeru spremembe leta izgradnje stavbe: dokazila, ki izkazujejo spremenjeno leto izgradnje stavbe.
(4) V primeru solastništva posameznega dela stavbe obrazce podpišejo vsi solastniki, za podatke o stavbi in za skupne prostore pa upravnik stavbe.
7. DRUGO MNENJE 
70. člen 
(način pridobitve elaborata za izdelavo drugega mnenja) 
(1) Geodetsko podjetje, ki je prejelo naročilo za izdelavo drugega mnenja, preko elektronske pošte posreduje geodetski upravi vlogo za posredovanje elaborata skupaj z naročilom za izdelavo drugega mnenja. Vloga vsebuje številko elaborata, ki je vpisan v informacijski sistem kataster in za katerega se izdeluje drugo mnenje. Številka elaborata se pridobi iz informacijskega sistema kataster.
(2) Geodetska uprava geodetskemu podjetju iz prejšnjega odstavka posreduje zahtevan elaborat najpozneje v treh delovnih dneh od prejema vloge za pridobitev elaborata za izdelavo drugega mnenja.
8. BONITETA ZEMLJIŠČA 
71. člen 
(podatki za določanje bonitete zemljišča) 
(1) Lastnosti tal, klime, reliefa in posebnih vplivov se ugotavljajo po merilih za bonitiranje zemljišč iz Priloge 4, ki je sestavni del tega pravilnika.
(2) Lastnosti tal, klime in reliefa se določijo v točkah, posebni vplivi pa v deležu.
72. člen 
(določitev bonitete zemljišča) 
(1) Zemljišče z enakimi lastnostmi tal, klime, reliefa in posebnih vplivov se določi kot svoje območje bonitete zemljišča, ki se mu izračunajo in določijo bonitetne točke. Meja območja bonitete zemljišča je neodvisna od poteka meje parcele.
(2) Bonitetne točke območja bonitete zemljišča se izračunajo po naslednji enačbi:
Slika 2
kjer so: 
B = boniteta območja; 
Tx = točke lastnost tal;
Kx = točke lastnosti klime;
Rx = točke lastnosti reliefa;
∑ % posebni vplivi = vsota deležev posebnih vplivov. 
(3) Število bonitetnih točk za parcelo se izračuna na podlagi grafičnega preseka območij bonitete zemljišča s parcelami.
(4) Če leži parcela na več območjih bonitete zemljišč, se število bonitetnih točk parcele izračuna po naslednji enačbi:
Slika 3
kjer so: 
B = boniteta parcele; 
Pn = površina dela parcele, ki leži na območju bonitete zemljišč z boniteto Bn, določena z grafičnim presekom območij bonitete zemljišč s parcelami; 
Bn= boniteta območja bonitete zemljišč. 
(5) Bonitetne točke parcele in območja bonitete zemljišč se določijo s celim številom.
(6) Če se spremeni območje bonitete zemljišča ali spremenijo bonitetne točke, se izdela predlog spremembe območja bonitete zemljišč, ki prikazuje stanje pred in po spremembi območja.
(7) Boniteta zemljišča se ugotavlja za tla, ki so strukturno neporušena in izkazujejo lastnosti v skladu z merili za bonitiranje zemljišč iz Priloge 4 tega pravilnika. Če je kmetijsko ali gozdno zemljišče degradirano na način, da na zemljišču delno ali v celoti manjka humusno akumulativni sloj ali ni dostopno zaradi navoženega materiala (npr. prod, pesek, glina, odpadni material od gradbenih del, smeti, fekalije), se boniteta zemljišča ne ugotavlja oziroma ostane nespremenjena do sanacije degradiranega območja.
(8) Ne glede na prejšnji odstavek se boniteta zemljišča na degradiranem območju ugotavlja za tehnogena tla in substrate.
(9) Za določitev teksture in kislosti (pH) tal v tleh se opravi laboratorijska analiza. Kislost tal se določi z ekstrakcijo KCl, v skladu s standardom SIST ISO 10390. Tekstura tal se določi kot teksturni razred po USDA teksturni klasifikaciji in v skladu s standardom SIST ISO 11277. Laboratorijska analiza se opravi v povprečnem vzorcu tal iz globine 0 do 30 cm. V vzorec, namenjen laboratorijski analizi, se ne zajamejo organski horizonti. Če so tla plitvejša od 30 cm, se povprečen vzorec, namenjen laboratorijski analizi, odvzame znotraj razpoložljive globine.
(10) Območja bonitete zemljišča in njihove bonitetne točke se lahko spremenijo tudi zaradi sprememb lastnosti tal, klime, reliefa, ki jih ugotovi geodetska uprava na podlagi prevzema podatkov iz drugih evidenc.
73. člen 
(elaborat spremembe bonitete zemljišč) 
(1) Elaborat spremembe bonitete zemljišč vsebuje obrazec N, obrazec V in obrazec B iz Priloge 5 tega pravilnika.
(2) V elaboratu spremembe bonitete zemljišč so koordinate novega območja bonitete in koordinate točke meritev, ki so določene za ugotovljene lastnosti tal, klime oziroma reliefa, določene v državnem prostorskem koordinatnem sistemu v metrih in zaokrožene na dve decimalni mesti.
(3) V prikazu sprememb elaborata spremembe bonitete zemljišč se grafično prikažejo spremembe območij bonitete, bonitetnih točk in točke meritev, ki so določene za ugotovljene lastnosti tal, klime oziroma reliefa.
(4) Priloga poročila bonitiranja zemljišč je laboratorijska analiza vzorca humusno akumulativnega sloja A horizonta oziroma vzorca do globine 30 cm za kislost (pH) in teksturo tal po priporočenih standardiziranih metodah iz standarda SIST ISO 10390 in SIST ISO 11277.
(5) Laboratorijsko analizo vzorca humusno akumulativnega sloja za kislost (pH) in teksturo tal opravi laboratorij, ki je prepoznan kot ustrezno kakovosten s strani ministrstva, pristojnega za kmetijstvo, ali ministrstva, pristojnega za okolje.
9. DEJANSKA RABA ZEMLJIŠČ 
74. člen 
(podatki skupnega sloja dejanske rabe zemljišč) 
(1) V skupni sloj dejanske rabe zemljišč se vpišejo poligoni in podatki o poligonih podrobnejših dejanskih rab zemljišč, ki jih določi upravljavec evidence dejanske rabe zemljišč, ki se vodi na podlagi zakona (v nadaljnjem besedilu: matična evidenca).
(2) O poligonih dejanske rabe zemljišč iz prejšnjega odstavka se vpišejo naslednji podatki:
– številka poligona dejanske rabe zemljišč, določena v skladu s predpisom, ki določa vrste dejanskih rab zemljišč, ki se vodijo v katastru nepremičnin,
– ena ali več šifer dejanske rabe zemljišč, v katero je geodetska uprava v skladu s predpisom, ki ureja vrste dejanskih rab zemljišč, ki se vodijo v katastru nepremičnin, razvrstila podrobnejše dejanske rabe zemljišč iz matične evidence (v nadaljnjem besedilu: dejanska raba zemljišč),
– koordinate točk poligona dejanske rabe zemljišč,
– položajna točnost in
– datum vira.
(3) Območja, na katerih se poligoni različnih vrst dejanske rabe zemljišč prekrivajo (v nadaljnjem besedilu: hkratna dejanska raba zemljišč), so v skupnem sloju dejanskih rab samostojni poligoni s šiframi dejanskih rab poligonov, ki se prekrivajo.
(4) Koordinate točk poligona dejanske rabe zemljišč, ki določajo poligon, se vodijo v državnem prostorskem koordinatnem prostorskem sistemu zaokroženi na dve decimalni mesti.
(5) Položajna točnost se določi po šifrantu, ki ga geodetska uprava posreduje upravljavcem matičnih evidenc.
(6) Datum vira je podatek o datumu podatkovnega vira, ki je bil uporabljen za določitev poligona dejanske rabe zemljišč v matični evidenci. Za poligone hkratne dejanske rabe zemljišč je datum vira najstarejši datum veljavnosti posameznih dejanskih rab zemljišč, ki so v tem poligonu hkratnih dejanskih rab zemljišč.
75. člen 
(način vodenja podatkov o poligonih) 
Podatki o poligonih iz prejšnjega člena se v skupnem sloju dejanske rabe zemljišč spremenijo, če se spremenijo, izbrišejo ali določijo novi poligoni v matičnih evidencah.
76. člen 
(delež površine dejanske rabe zemljišč) 
(1) Deleži površin dejanskih rab zemljišč se za parcelo izračunajo v kvadratnih metrih. V kataster nepremičnin se vpišejo kot delež površine parcele.
(2) Deleži površin dejanskih rab zemljišč na parceli se izračunajo, če se spremeni meja parcele ali če se spremeni poligon.
(3) Deleži površin dejanskih rab zemljišč na parceli se izračunajo iz koordinat poligona, določenega z grafičnim presekom skupnega sloja dejanske rabe zemljišč z mejami parcel. Če sta na parceli dva ali več poligonov z enako dejansko rabo zemljišč, se deleži seštejejo. Če vsota deležev na parceli presega 100 %, se deleži izravnajo na 100 %.
(4) Dejanske rabe zemljišč se vpišejo na parcelo ali se že vpisane dejanske rabe spremenijo, če je površina dejanske rabe, ki še ni vpisana na parceli, večja ali če se vsaj ena od že vpisanih dejanskih rab zemljišč spremeni za več od 1,5 kratnika kvadratnega korena površine parcele Slika 4
(5) Če se zaradi neizpolnjevanja pogojev iz prejšnjega odstavka površine hkratnih dejanskih rab zemljišč ne vpišejo na parcelo, se prištejejo površini dejanske rabe zemljišč na parceli, če je ta enaka eni od hkratnih dejanskih rab zemljišč. Če sta dve ali več hkratnih dejanskih rab zemljišč enaki dejanskim rabam zemljišč na parceli, se površina hkratne dejanske rabe zemljišč razdeli in se v enakih deležih pripiše vsem enakim dejanskim rabam zemljišč.
77. člen 
(izkazovanje podatkov o dejanski rabi zemljišč) 
(1) Dejanske rabe zemljišč, ki se vpišejo v kataster nepremičnin, se izkazujejo za posamezne vrste dejanskih rab zemljišč in za hkratne dejanske rabe zemljišč.
(2) Posamezne vrste dejanskih rab zemljišč in hkratne dejanske rabe zemljišč se izkazujejo v grafični obliki in v obliki deležev površin dejanskih rab za vsako parcelo posebej. Deleži so zapisani v odstotkih in zaokroženi na eno decimalno mesto.
10. VZDRŽEVANJE POTEKA MEJ OBČIN Z MEJAMI PARCEL 
78. člen 
(uskladitev poteka meje občine) 
Potek meje občine se uskladi s spremenjeno mejo parcele, če se meja parcele v katastrskem načrtu spremeni zaradi postopkov parcelacije, komasacije ali izravnave meje in je razlika med potekom meje občine in spremenjeno mejo parcele znotraj območja, ki v širini 1 m poteka na vsaki strani dosedanje meje občine.
79. člen 
(elaborat spremembe meje občine) 
Sestavine elaborata spremembe meje občine so naslednji obrazci iz Priloge 5 tega pravilnika:
– obrazec OB-0,
– obrazec OB-1,
– obrazec OB-2,
– obrazec OB-3 in
– sporazum med občinami glede poteka meje.
11. PREHODNI IN KONČNI DOLOČBI 
80. člen 
(prva objava izmenjevalnih formatov) 
Ne glede na drugi odstavek 2. člena tega pravilnika se izmenjevalni formati prvič objavijo vsaj sedem dni pred začetkom njihove uporabe.
81. člen 
(izkazovanje parcelne številke za stavbne parcele) 
Do uskladitve podatkov o parcelnih številkah v skladu s 161. členom Zakona o katastru nepremičnin (Uradni list RS, št. 54/21) se za parcele, označene s »stavbno parcelno številko«, parcelna številka izkazuje tako, kot je določeno v prvem oziroma drugem odstavku 27. člena tega pravilnika, pri čemer se pred številko parcele, ki je določena v okviru katastrske občine, izpiše zvezdica »*«.
82. člen
(prenehanje uporabe) 
Z dnem začetka uporabe tega pravilnika se prenehajo uporabljati:
– Pravilnik o evidentiranju podatkov v zemljiškem katastru (Uradni list RS, št. 48/18, 51/18 – popr., 35/19 in 54/21 − ZKN),
– Pravilnik o določanju in vodenju bonitete zemljišč (Uradni list RS, št. 47/08 in 54/21 − ZKN),
– Pravilnik o vzpostavitvi bonitete zemljišč (Uradni list RS, št. 35/08 in 54/21 – ZKN),
– Pravilnik o vpisih v kataster stavb (Uradni list RS, št. 73/12, 87/14, 66/16 in 54/21 − ZKN),
– Pravilnik o vrstah dejanskih rab dela stavbe in vrstah prostorov, ki pripadajo delu stavbe (Uradni list RS, št. 22/19, 46/19 in 54/21 – ZKN).
83. člen
(začetek veljavnosti in uporabe) 
Ta pravilnik začne veljati naslednji dan po objavi v Uradnem listu Republike Slovenije, uporabljati pa se začne 4. aprila 2022.
Št. 007-64/2022
Ljubljana, dne 18. marca 2022
EVA 2022-2550-0028
Mag. Andrej Vizjak 
minister 
za okolje in prostor 
 
 

Nastavitve piškotkov

Vaše trenutno stanje

Prikaži podrobnosti